Skip to main content

DEEL 1 - Algemene voorschriften
Hoofdstuk 1    
1.1   Toepassingsgebied en toepasbaarheid
1.1.1   Structuur
1.1.2 Toepassingsgebied
1.1.3 Vrijstellingen
1.1.3.1 Vrijstellingen die samenhangen met de aard van het vervoersproces
1.1.3.2 Vrijstellingen in samenhang met het vervoer van gassen
1.1.3.3 Vrijstellingen in samenhang met het vervoer van vloeibare brandstoffen
1.1.3.4 Vrijstellingen in samenhang met bijzondere bepalingen of met gevaarlijke goederen, verpakt in gelimiteerde of vrijgestelde hoeveelheden
1.1.3.5 Vrijstellingen in samenhang met ongereinigde lege verpakkingen
1.1.3.6 Vrijstellingen in samenhang met de vervoerde hoeveelheden per transporteenheid
1.1.3.7 Vrijstellingen in samenhang met het vervoer van inrichtingen voor de opslag en productie van elektriciteit
1.1.3.8 Gereserveerd
1.1.3.9 Vrijstellingen in samenhang met gevaarlijke goederen die tijdens vervoer als koel- of conditioneringsmiddel worden gebruikt
1.1.3.10 Vrijstellingen in samenhang met het vervoer van lampen die gevaarlijke goederen bevatten
1.1.4 Toepasbaarheid van andere voorschriften
1.1.4.1 Gereserveerd
1.1.4.2 Vervoer in een transportketen die vervoer over zee of door de lucht omvat
1.1.4.3 Gebruik van transporttanks van het IMO-type, toegelaten voor het zeevervoer
1.1.4.4 Gereserveerd
1.1.4.5 Vervoer dat niet over de weg plaatsvindt
1.1.4.7 Hervulbare drukhouders toegelaten door de Verenigde Staten
1.1.5 Toepassing van normen
     
Hoofdstuk 2    
1.2 Definities, meeteenheden en afkortingen
1.2.1 Definities
1.2.2 Meeteenheden
     
Hoofdstuk 3    
1.3 Opleiding van personen die betrokken zijn bij het vervoer van gevaarlijke goederen Toepassingsgebied
1.3.1 Aard van de opleiding
1.3.2.1 Algemene bewustmaking
1.3.2.2 Functiespecifieke opleiding
1.3.2.3 Veiligheidsopleiding
1.3.3 Documentatie
     
Hoofdstuk 4    
1.4 Veiligheidsplichten van de betrokkenen
1.4.1 Algemene zorg voor de veiligheid
1.4.2 Plichten van de belangrijkste betrokkenen
1.4.2.1 Afzender
1.4.2.2 Vervoerder
1.4.2.3 Geadresseerde
1.4.3 Plichten van andere betrokkenen
1.4.3.1 Belader
1.4.3.2 Verpakker
1.4.3.3 Vuller
1.4.3.4 Exploitant van een tankcontainer of transporttank
1.4.3.5 Gereserveerd
1.4.3.6 Gereserveerd
1.4.3.7 Losser
     
Hoofdstuk 5    
1.5 Afwijkingen
1.5.1 Tijdelijke afwijkingen
1.5.2 Gereserveerd
     
Hoofdstuk 6    
1.6   Overgangsvoorschriften
1.6.1   Algemeen
1.6.2   Drukhouders en houders voor klasse 2
1.6.3 Vaste tanks (tankwagens), afneembare tanks en batterijwagens
1.6.4 Tankcontainers, transporttanks en MEGC’s
1.6.5 Voertuigen
1.6.6 Klasse 7
     
Hoofdstuk 7    
1.7 Algemene bepalingen voor radioactieve stoffen
1.7.1   Toepassingsgebied
1.7.1.5   Bijzondere voorschriften voor het vervoer van vrijgestelde colli
1.7.2   Stralingsbeschermingsprogramma
1.7.3   Beheersysteem
1.7.4   Speciale regeling
1.7.5   Radioactieve stoffen die bijkomende gevaarseigenschappen bezitten
1.7.6   Niet-naleving
     
Hoofdstuk 8    
1.8 Controlemaatregelen en andere maatregelen voor de ondersteuning van de naleving van de veiligheidsvoorschriften
1.8.1   Controles van gevaarlijke goederen van overheidswege
1.8.2   Ambtelijke hulp
1.8.3   Veiligheidsadviseur
1.8.3.12   Examens
1.8.3.16   Geldigheidsduur en verlenging van het certificaat
1.8.3.18   Model van het certificaat
1.8.3.19   Uitbreiding van het certificaat
1.8.4   Lijst van de bevoegde autoriteiten en de door hen aangewezen instanties
1.8.5   Meldingen van gebeurtenissen met gevaarlijke goederen
1.8.5.4   Model voor een rapport over gebeurtenissen tijdens het vervoer van gevaarlijke goederen
1.8.6   Administratieve controles voor de toepassing van conformiteitsbeoordelingen, periodieke onderzoeken, tussentijdse onderzoeken en buitengewone controles omschreven in 1.8.7
1.8.6.1   Erkenning van onderzoeksinstanties
1.8.6.2   Verplichtingen voor de werkwijze van de bevoegde autoriteit, haar gemachtigde of onderzoeksinstantie
1.8.6.3   Verplichting tot het verstrekken van informatie
1.8.6.4   Delegatie van onderzoekstaken
1.8.6.5   Verplichting tot het verstrekken van informatie door de onderzoeksinstanties
1.8.7   Procedures voor conformiteitsbeoordeling en periodiek onderzoek
1.8.7.1   Algemene bepalingen
1.8.7.2   Typegoedkeuring
1.8.7.3   Toezicht op de fabricage
1.8.7.4   Eerste onderzoek en beproevingen
1.8.7.5   Periodiek onderzoek, tussentijds onderzoek en buitengewone controles
1.8.7.6   Toezicht op de interne inspectiedienst van de aanvrager
1.8.7.7   Documenten
1.8.7.8   Producten vervaardigd, goedgekeurd, onderzocht en beproefd volgens normen
1.8.8   Procedures voor de conformiteitsbeoordeling van gaspatronen
1.8.8.1   Algemene bepalingen
1.8.8.2   Onderzoek van het ontwerptype
1.8.8.3   Toezicht op de fabricage
1.8.8.4   Dichtheidsproef
1.8.8.5   (Gereserveerd)
1.8.8.6   Toezicht op de interne inspectiedienst
1.8.8.7   Documenten
     
Hoofdstuk 9    
1.9 Beperkingen in het vervoer door de bevoegde autoriteiten
1.9.5   Beperkingen in tunnels
1.9.5.1   Algemene bepalingen
1.9.5.2   Vaststelling van de categorieën
1.9.5.3   Bepalingen voor verkeersborden en kennisgeving van beperkingen
     
Hoofdstuk 10    
1.10   Voorschriften voor de beveiliging
1.10.1   Algemene voorschriften
1.10.2   Opleiding met het oog op de beveiliging
1.10.3   Voorschriften voor gevaarlijke goederen met een hoog gevarenpotentieel
1.10.3.1   Definitie van gevaarlijke goederen met een hoog gevarenpotentieel
1.10.3.2   Beveiligingsplannen
DEEL 2 - Classificatie
Hoofdstuk 1    
2.1 Algemene voorschriften
2.1.1 Inleiding
2.1.2   Principes van de classificatie
2.1.3   Classificatie van niet met name genoemde stoffen met inbegrip van oplossingen en mengsels (zoals preparaten, formuleringen en afvalstoffen)
2.1.4   Classificatie van monsters
2.1.5   Classificatie van voorwerpen als voorwerpen die gevaarlijke stoffen bevatten, n.e.g.
2.1.6   Classificatie van afgedankte verpakkingen, leeg, ongereinigd
     
Hoofdstuk 2    
2.2   Bijzondere voorschriften voor de afzonderlijke klassen
2.2.1   Klasse 1 Ontplofbare stoffen en voorwerpen
2.2.1.1   Criteria
2.2.1.1.6   Definitie van de compatibiliteitsgroepen van de stoffen en voorwerpen
2.2.1.1.7   Indeling van vuurwerk in de subklassen
2.2.1.1.7.5   Defaulttabel voor de classificatie van vuurwerk
2.2.1.1.8   Uitzondering van klasse 1
2.2.1.2   Niet ten vervoer toegelaten stoffen en voorwerpen
2.2.1.3   Lijst van verzamelaanduidingen
2.2.1.4   Glossarium van de benamingen
     
2.2.2   Klasse 2 Gassen
2.2.2.1   Criteria
2.2.2.1.7   Chemische stoffen onder druk
2.2.2.2   Niet ten vervoer toegelaten gassen
2.2.2.3   Lijst van verzamelaanduidingen
     
2.2.3   Klasse 3 Brandbare vloeistoffen
2.2.3.1   Criteria
2.2.3.2   Niet ten vervoer toegelaten stoffen
2.2.3.3   Lijst van verzamelaanduidingen
     
2.2.41   Klasse 4.1: Brandbare vaste stoffen, polymeriserende stoffen, zelfontledende stoffen en vaste ontplofbare stoffen in niet explosieve toestand
2.2.41.1   Criteria
2.2.41.2   Niet ten vervoer toegelaten stoffen
2.2.41.3   Lijst van verzamelaanduidingen
2.2.41.4   Lijst van reeds ingedeelde zelfontledende stoffen in verpakkingen
     
2.2.42   Klasse 4.2: Voor zelfontbranding vatbare stoffen
2.2.42.1   Criteria
2.2.42.2   Niet ten vervoer toegelaten stoffen
2.2.42.3   Lijst van verzamelaanduidingen
     
2.2.43   Klasse 4.3: Stoffen die in contact met water brandbare gassen ontwikkelen
2.2.43.1   Criteria
2.2.43.2   Niet ten vervoer toegelaten stoffen
2.2.43.3   Lijst van verzamelaanduidingen
     
2.2.51   Klasse 5.1 Oxiderende stoffen
2.2.51.1   Criteria
2.2.51.2   Niet ten vervoer toegelaten stoffen
2.2.51.3   Lijst van verzamelaanduidingen
     
2.2.52   Klasse 5.2: Organische peroxiden
2.2.52.1   Criteria
2.2.52.2   Niet ten vervoer toegelaten stoffen
2.2.52.3   Lijst van verzamelaanduidingen
2.2.52.4   Lijst van reeds ingedeelde organische peroxiden in verpakkingen
     
2.2.61   Klasse 6.1 Giftige stoffen
2.2.61.1   Criteria
2.2.61.2   Niet ten vervoer toegelaten stoffen
2.2.61.3   Lijst van verzamelaanduidingen
     
2.2.62   Klasse 6.2 Infectueuze stoffen (besmettelijke stoffen)
2.2.62.1   Criteria
2.2.62.1.9   Biologische producten
2.2.62.1.10   Genetisch gemodificeerde micro-organismen en organismen
2.2.62.1.11   Ziekenhuis- of medisch afval
2.2.62.1.12   Besmette dieren
2.2.62.2   Niet ten vervoer toegelaten stoffen
2.2.62.3   Lijst van verzamelaanduidingen
     
2.2.7   Klasse 7 Radioactieve stoffen
2.2.7.1   Definities
2.2.7.1.2   Besmetting
2.2.7.1.3   Definities van specifieke termen
2.2.7.2   Classificatie
2.2.7.2.1   Algemene bepalingen
2.2.7.2.2   Grenswaarden van de activiteit
2.2.7.2.3   Bepaling van andere stofeigenschappen
2.2.7.2.3.1   Stoffen met geringe specifieke activiteit (LSA)
2.2.7.2.3.3   Radioactieve stoffen in speciale toestand
2.2.7.2.3.4   Gering verspreidbare radioactieve stoffen
2.2.7.2.3.5   Splijtbare stoffen
2.2.7.2.4   Classificatie van colli of onverpakte stoffen
2.2.7.2.4.1   Classificatie als vrijgesteld collo
2.2.7.2.5   Speciale regelingen
     
2.2.8   Klasse 8 Bijtende stoffen
2.2.8.1   Definitie, algemene voorschriften en criteria
2.2.8.2   Niet ten vervoer toegelaten stoffen
2.2.8.3   Lijst van verzamelaanduidingen
     
2.2.9   Klasse 9 Diverse gevaarlijke stoffen en voorwerpen
2.2.9.1   Criteria
2.2.9.2   Niet ten vervoer toegelaten stoffen en voorwerpen
2.2.9.3   Lijst van posities
     
Hoofdstuk 3    
2.3 Testmethoden
2.3.0   Algemeen
2.3.1   Beproeving van het uitzweten voor springstof, type A
2.3.2   Beproevingen betreffende genitreerde cellulosemengsels van klasse 4.1
2.3.2.9   Beproeving van de chemische stabiliteit bij verhoogde temperatuur
2.3.2.10   Ontbrandingstemperatuur (zie 2.3.2.1 en 2.3.2.2)
2.3.3   Beproevingen betreffende brandbare vloeistoffen van de klassen 3, 6.1 en 8.
2.3.3.1   Bepaling van het vlampunt
2.3.3.2   Bepaling van het beginkookpunt
2.3.3.3   Beproeving voor de bepaling van het peroxidegehalte
2.3.4   Beproeving voor de bepaling van het vloeigedrag
2.3.4.1   Meetapparaat
2.3.4.2   Beproevingsmethode
2.3.4.3   Beoordeling van de beproevingsresultaten
2.3.5   Indeling van metaalorganische stoffen in de klassen 4.2.en 4.3
     
DEEL 4 - Voorschriften voor verpakkingen en tanks
Hoofdstuk 1    
4.1 Gebruik van verpakkingen, met inbegrip van IBC’s en grote verpakkingen
4.1.1 Algemene voorschriften voor het verpakken van gevaarlijke goederen in verpakkingen, met inbegrip van IBC's en grote verpakkingen
4.1.1.18 Ontplofbare stoffen, zelfontledende stoffen en organische peroxiden
4.1.1.19 Gebruik van bergingsverpakkingen en grote bergingsverpakkingen
4.1.1.20 Gebruik van bergingsdrukhouders
4.1.1.21 Verificatie van de chemische compatibiliteit van kunststof verpakkingen, met inbegrip van IBC's, door assimilatie van vulstoffen aan standaardvloeistoffen
4.1.2 Aanvullende algemene voorschriften voor het gebruik van IBC's
4.1.3 Algemene voorschriften met betrekking tot verpakkingsinstructies 
4.1.3.6 Drukhouders voor vloeistoffen en vaste stoffen
4.1.3.8 Onverpakte voorwerpen met uitzondering van voorwerpen van klasse 1
4.1.4 Lijst met verpakkingsinstructies
4.1.4.1 Verpakkingsinstructies betreffende het gebruik van verpakkingen (uitgezonderd IBC's en grote verpakkingen)
4.1.4.2 Verpakkingsinstructies betreffende het gebruik van IBC's
4.1.4.3 Verpakkingsinstructies betreffende het gebruik van grote verpakkingen 
4.1.5 Bijzondere verpakkingsvoorschriften voor goederen van klasse 1
4.1.6 Bijzondere verpakkingsvoorschriften voor stoffen van klasse 2 en stoffen van andere klassen, waaraan verpakkingsinstructie P200 is toegekend
4.1.7 Bijzondere verpakkingsvoorschriften voor organische peroxiden van klasse 5.2 en zelfontledende stoffen van klasse 4.1
4.1.7.1 Gebruik van verpakkingen (met uitzondering van IBC’s)
4.1.7.2 Gebruik van IBC's
4.1.8 Bijzondere verpakkingsvoorschriften voor infectueuze stoffen (klasse 6.2)
4.1.9 Bijzondere verpakkingsvoorschriften voor radioactieve stoffen
4.1.9.1 Algemeen
4.1.9.2 Voorschriften en controlemaatregelen voor het vervoer van LSA-stoffen en SCO
4.1.9.3 Colli die splijtbare stoffen bevatten
4.1.10 Bijzondere voorschriften voor gezamenlijke verpakking 
     
Hoofdstuk 2    
4.2 Gebruik van transporttanks en un-gascontainers met verscheidene elementen (MEGC’s)
4.2.1 Algemene voorschriften voor het gebruik van transporttanks voor het vervoer van stoffen van klassen 1 en 3 t/m 9
4.2.1.9 Vullingsgraad
4.2.1.10 Aanvullende voorschriften die van toepassing zijn op het vervoer van klasse 3 stoffen in transporttanks
4.2.1.11 Aanvullende voorschriften die van toepassing zijn op het vervoer van stoffen van klassen 4.1, 4.2 of 4.3 (met uitzondering van zelfontledende stoffen van klasse 4.1) in transporttanks
4.2.1.12 Aanvullende voorschriften die van toepassing zijn op het vervoer van stoffen van klasse 5.1 in transporttanks
4.2.1.13 Aanvullende voorschriften die van toepassing zijn op het vervoer van stoffen van klasse 5.2 en zelfontledende stoffen van klasse 4.1 in transporttanks
4.2.1.14 Aanvullende voorschriften die van toepassing zijn op het vervoer van stoffen van klasse 6.1 in transporttanks
4.2.1.15 Aanvullende voorschriften die van toepassing zijn op het vervoer van stoffen van klasse 6.2 in transporttanks
4.2.1.16 Aanvullende voorschriften die van toepassing zijn op het vervoer van stoffen van klasse 7 in transporttanks
4.2.1.17 Aanvullende voorschriften die van toepassing zijn op het vervoer van stoffen van klasse 8 in transporttanks
4.2.1.18 Aanvullende voorschriften die van toepassing zijn op het vervoer van stoffen van klasse 9 in transporttanks
4.2.1.19 Aanvullende voorschriften die van toepassing zijn op het vervoer van vaste stoffen die worden vervoerd bij temperaturen boven hun smeltpunt
4.2.2 Algemene voorschriften voor het gebruik van transporttanks voor het vervoer van niet sterk gekoelde, vloeibaar gemaakte gassen en chemische stoffen onder druk
4.2.2.7 Het vullen
4.2.3 Algemene voorschriften voor het gebruik van transporttanks voor het vervoer van sterk gekoelde, vloeibaar gemaakte gassen
4.2.3.6 Het vullen
4.2.3.7 Werkelijke verblijftijd
4.2.4 Algemene voorschriften voor het gebruik van UN-gascontainers met verscheidene elementen (MEGC's)
4.2.4.5 Het vullen
4.2.5 Instructies en bijzondere bepalingen voor transporttanks
4.2.5.1 Algemeen
4.2.5.2 Transporttank-instructies
4.2.5.3 Bijzondere bepalingen voor transporttanks
     
Hoofdstuk 3    
4.3 Gebruik van vaste tanks (tankwagens), afneembare tanks, tankcontainers en wissellaadtanks met metalen reservoirs en batterijwagens en gascontainers met verscheidene elementen (MEGC’s)
4.3.1 Toepassingsgebied
4.3.2 Voorschriften van toepassing op alle klassen
4.3.2.1 Gebruik
4.3.2.2 Vullingsgraad
4.3.2.3 Bedrijf
4.3.2.4 Lege, ongereinigde tanks, batterijwagens en MEGC's
4.3.3 Bijzondere bepalingen van toepassing op klasse 2
4.3.3.1 De codering en hiërarchie van tanks
4.3.3.2 Voorwaarden voor het vullen en beproevingsdrukken
4.3.3.3 Bedrijf
4.3.4 Bijzondere bepalingen, van toepassing op de klassen 1 en 3 t/m 9
4.3.4.1 Codering, gerationaliseerde benadering en tankhiërarchie
4.3.4.2 Algemene voorschriften
4.3.5 Bijzondere bepalingen
     
Hoofdstuk 4    
4.4 Gebruik van vaste tanks (tankwagens), afneembare tanks, tankcontainers en wissellaadtanks van vezelgewapende kunststof
4.4.1 Algemeen
4.4.2 Bedrijf
     
Hoofdstuk 5    
4.5 Gebruik van druk/vacuümtanks (voor afvalstoffen)
4.5.1 Gebruik
4.5.2 Bedrijf
     
Hoofdstuk 6    
4.6 (Gereserveerd)
     
Hoofdstuk 7    
4.7 Gebruik van mobiele eenheden voor de fabricage van ontplofbare stoffen of voorwerpen (MEMU's)
4.7.1 Gebruik
4.7.2 Bedrijf
     
DEEL 5 - Procedures voor de verzending
Hoofdstuk 1    
5.1 Algemene voorschriften
5.1.1 Toepassing en algemene voorschriften
5.1.2 Het gebruik van oververpakkingen
5.1.3 Lege, ongereinigde verpakkingen (met inbegrip van IBC's en grote verpakkingen), tanks, MEMU’s, voertuigen en containers voor vervoer als los gestort goed
5.1.4 Gezamenlijke verpakking
5.1.5 Algemene voorschriften voor klasse 7
5.1.5.1 Goedkeuring van verzendingen en kennisgeving
5.1.5.1.1 Algemeen
5.1.5.1.2 Goedkeuring voor de verzending
5.1.5.1.3 Goedkeuring van een verzending op grond van een speciale regeling
5.1.5.1.4 Kennisgevingen
5.1.5.2 Certificaten, uitgegeven door de bevoegde autoriteit
5.1.5.3 Bepaling van de transportindex (TI) en de criticaliteits-veiligheidsindex (CSI)
5.1.5.4 Specifieke bepalingen voor vrijgestelde colli met radioactieve stoffen van klasse 7
5.1.5.5 Samenvatting van voorschriften inzake goedkeuring en voorafgaande kennisgeving
     
Hoofdstuk 2    
5.2 Kenmerking en etikettering
5.2.1 Kenmerking van colli
5.2.1.5 Aanvullende voorschriften voor goederen van klasse 1
5.2.1.6 Aanvullende voorschriften voor goederen van klasse 2
5.2.1.7 Bijzondere voorschriften voor het kenmerken van radioactieve stoffen
5.2.1.8 Bijzondere bepalingen voor de kenmerking van milieugevaarlijke stoffen
5.2.1.9 Kenmerking van lithiumbatterijen
5.2.1.10 Richtinggevende pijlen
5.2.2 De etikettering van colli
5.2.2.1 Etiketteringsvoorschriften
5.2.2.1.10 Bijzondere bepalingen voor de etikettering van colli met infectueuze stoffen.
5.2.2.1.11 Bijzondere bepalingen voor de etikettering van radioactieve stoffen
5.2.2.2 Voorschriften voor etiketten
5.2.2.2.2 Modellen van etiketten
     
Hoofdstuk 3    
5.3 Etikettering en kenmerking van containers, bulkcontainers, MEGC's, MEMU’s, tankcontainers, transporttanks en voertuigen
5.3.1 Het aanbrengen van grote etiketten
5.3.1.1 Algemene voorschriften
5.3.1.2 Het aanbrengen van grote etiketten op containers, bulkcontainers, MEGC’s, tankcontainers en transporttanks
5.3.1.3 Het aanbrengen van grote etiketten op voertuigen die containers, bulkcontainers, MEGC's, tankcontainers of transporttanks vervoeren
5.3.1.4 Het aanbrengen van grote etiketten op voertuigen voor vervoer als los gestort goed, tankwagens, batterijwagens, MEMU’s en voertuigen met afneembare tanks
5.3.1.5 Het aanbrengen van grote etiketten op voertuigen die uitsluitend colli vervoeren
5.3.1.6 Het aanbrengen van grote etiketten op lege tankwagens, batterijwagens, MEGC’s, MEMU’s, tankcontainers, transporttanks en op lege voertuigen en containers voor vervoer als los gestort goed
5.3.1.7 Specificaties voor grote etiketten
5.3.2 Oranje borden
5.3.2.1 Algemene voorschriften voor oranje borden
5.3.2.2 Specificaties voor de oranje borden
5.3.2.3 Betekenis van gevaarsidentificatienummers
5.3.3 Kenmerk voor stoffen die in verwarmde toestand worden vervoerd
5.3.6 Kenmerking voor milieugevaarlijke stoffen
     
Hoofdstuk 4    
5.4 Documentatie
5.4.0 Algemeen
5.4.1 Vervoersdocument voor gevaarlijke goederen en daarmee samenhangende informatie
5.4.1.1 Algemene informatie, die in het vervoersdocument moet staan
5.4.1.1.3 Bijzondere bepalingen voor afvalstoffen
5.4.1.1.5 Bijzondere bepalingen voor bergingsverpakkingen en bergingsdrukhouders
5.4.1.1.6 Bijzondere bepalingen voor lege, ongereinigde middelen van omsluiting
5.4.1.1.7 Bijzondere bepalingen voor vervoer in een transportketen die vervoer over zee of door de lucht omvat
5.4.1.1.11 Bijzondere bepalingen voor het vervoer van IBC's, tanks, batterijwagens of transporttanks en MEGC’s na het verstrijken van de termijn voor de laatste periodieke beproeving of inspectie
5.4.1.1.13 Bijzondere bepalingen voor het vervoer in tankwagens met meerdere compartimenten of in transporteenheden met meer dan één tank.
5.4.1.1.14 Bijzondere bepalingen voor het vervoer van stoffen die bij verhoogde temperatuur vervoerd worden
5.4.1.1.15 Bijzondere bepalingen voor het vervoer van stoffen die door middel van temperatuurbeheersing gestabiliseerd zijn
5.4.1.1.16 Informatie vereist volgens bijzondere bepaling 640 in hoofdstuk 3.3
5.4.1.1.17 Bijzondere bepalingen voor het vervoer van vaste stoffen in bulkcontainers conform 6.11.4
5.4.1.1.18 Bijzondere bepalingen voor het vervoer van milieugevaarlijke stoffen (aquatisch milieu)
5.4.1.1.19 Bijzondere bepalingen voor het vervoer van afgedankte verpakkingen, leeg, ongereinigd (UN 3509)
5.4.1.1.20 Bijzondere bepalingen voor het vervoer van stoffen die overeenkomstig 2.1.2.8 zijn ingedeeld
5.4.1.1.21 Bijzondere bepalingen voor het vervoer van UN-nrs. 3528, 3529 en 3530
5.4.1.2 Aanvullende of bijzondere informatie, vereist voor bepaalde klassen
5.4.1.2.1 Bijzondere bepalingen voor klasse 1
5.4.1.2.2 Aanvullende bepalingen voor klasse 2
5.4.1.2.3 Aanvullende bepalingen voor zelfontledende stoffen en polymeriserende stoffen van klasse 4.1 en organische peroxiden van klasse 5.2
5.4.1.2.4 Aanvullende bepalingen voor klasse 6.2
5.4.1.2.5 Aanvullende bepalingen voor klasse 7
5.4.1.3 (Gereserveerd)
5.4.1.4 Vereiste opmaak en taal
5.4.1.5 Niet-gevaarlijke goederen
5.4.2 Container-/voertuigbeladingscertificaat
5.4.3 Schriftelijke instructies
5.4.4 Bewaring van informatie over het vervoer van gevaarlijke goederen
5.4.5 Voorbeeld van een formulier voor multimodaal vervoer van gevaarlijke goederen
     
Hoofdstuk 5    
5.5 Bijzondere bepalingen
5.5.1 (Geschrapt)
5.5.2 Bijzondere bepalingen van toepassing op gegaste laadeenheden (UN 3359)
5.5.2.1 Algemeen
5.5.2.2 Opleiding
5.5.2.3 Kenmerking en grote etiketten
5.5.2.4 Documentatie
5.5.3 Bijzondere bepalingen van toepassing op colli en voertuigen en containers met stoffen die een verstikkingsgevaar vertonen wanneer zij voor koelings- of conditioneringsdoeleinden worden gebruikt (zoals droogijs [UN 1845] of stikstof, sterk gekoeld, vloeibaar [UN 1977] of argon, sterk gekoeld, vloeibaar [UN 1951])
5.5.3.1 Toepassingsgebied
5.5.3.2 Algemeen
5.5.3.3 Colli die een koel- of conditioneringsmiddel bevatten
5.5.3.4 Kenmerking van colli die een koel- of conditioneringsmiddel bevatten
5.5.3.5 Voertuigen en containers die onverpakt droogijs bevatten
5.5.3.6 Kenmerking van voertuigen en containers
5.5.3.7 Documentatie
     
DEEL 6 - Voorschriften voor de constructie en beproeving van verpakkingen, IBC’s, grote verpakkingen en tanks
Hoofdstuk 1    
6.1 Voorschriften voor de constructie en beproeving van verpakkingen
6.1.1 Algemeen
6.1.2 Code voor de aanduiding van typen van verpakkingen
6.1.3 Kenmerk
6.1.4 Eisen aan verpakkingen
6.1.4.0 Algemene voorschriften
6.1.4.1 Stalen vaten
6.1.4.2 Aluminium vaten
6.1.4.3 Vaten van een ander metaal dan staal of aluminium
6.1.4.4 Jerrycans van staal of aluminium
6.1.4.5 Vaten van gelamineerd hout
6.1.4.7 Kartonnen vaten
6.1.4.8 Vaten en jerrycans van kunststof
6.1.4.9 Kisten van natuurlijk hout
6.1.4.10 Kisten van gelamineerd hout
6.1.4.11 Kisten van houtvezelmateriaal
6.1.4.12 Kartonnen dozen
6.1.4.13 Dozen van kunststof
6.1.4.14 Kisten van staal, aluminium of ander metaal
6.1.4.15 Zakken van textiel
6.1.4.16 Zakken van kunststof weefsel
6.1.4.17 Zakken van kunststof folie
6.1.4.18 Papieren zakken
6.1.4.19 Combinatieverpakkingen (kunststof)
6.1.4.20 Combinatieverpakkingen (glas, porselein of aardewerk)
6.1.4.21 Samengestelde verpakkingen
6.1.4.22 Lichte metalen verpakkingen
6.1.5 Voorschriften voor de beproeving van de verpakkingen
6.1.5.1 Uitvoering en herhaling van de beproevingen
6.1.5.2 Voorbereiding van de verpakkingen en de colli voor de beproevingen
6.1.5.3 Valproef
6.1.5.4 Dichtheidsproef
6.1.5.5 Beproeving met inwendige druk (hydraulische proefpersing)
6.1.5.6 Stapelproef
6.1.5.7 Aanvullende beproeving van permeatie bij vaten en jerrycans van kunststof volgens 6.1.4.8 en combinatieverpakkingen (kunststof) volgens 6.1.4.19, bestemd voor het vervoer van vloeistoffen met een vlampunt £60 oC, met uitzondering van de verpakkingen 6HA1
6.1.5.8 Beproevingsrapport
6.1.6 Standaardvloeistoffen voor het aantonen van de chemische bestendigheid van verpakkingen, met inbegrip van IBC’s, van polyetheen, volgens respectievelijk 6.1.5.2.6 en 6.5.6.3.5.
     
Hoofdstuk 2    
6.2 Voorschriften voor de constructie en de beproeving van drukhouders, spuitbussen, houders, klein, met gas (gaspatronen) en patronen voor brandstofcellen met vloeibaar gemaakt, brandbaar gas
6.2.1 Algemene voorschriften
6.2.1.1 Ontwerp en constructie
6.2.1.2 Materialen
6.2.1.3 Bedrijfsuitrusting
6.2.1.4 Goedkeuring van drukhouders
6.2.1.5 Eerste onderzoek en beproeving
6.2.1.6 Periodiek onderzoek en beproeving
6.2.1.7 Voorschriften voor fabrikanten
6.2.1.8 Voorschriften voor onderzoeksinstanties
6.2.2 Voorschriften voor UN-drukhouders
6.2.2.1 Ontwerp, constructie en eerste onderzoek en beproeving
6.2.2.2 Materialen
6.2.2.3 Bedrijfsuitrusting
6.2.2.4 Periodiek onderzoek en beproeving
6.2.2.5 Conformiteitbeoordelingssysteem en goedkeuring voor de fabricage van drukhouders
6.2.2.6 Goedkeuringssysteem voor periodiek onderzoek en beproeving van drukhouders
6.2.2.7 Merktekens op hervulbare UN-drukhouders
6.2.2.8 Merktekens op niet-hervulbare UN-drukhouders
6.2.2.9 Merktekens op UN-opslagsystemen met metaalhydride
6.2.2.10 Merktekens op UN-flessenbatterijen
6.2.2.11 Equivalente procedures voor conformiteitsbeoordeling en periodiek onderzoek en beproeving
6.2.3 Algemene voorschriften voor niet-UN-drukhouders
6.2.3.1 Ontwerp en constructie
6.2.3.3 Bedrijfsuitrusting
6.2.3.4 Eerste onderzoek en beproeving
6.2.3.5 Periodiek onderzoek en beproeving
6.2.3.6 Goedkeuring van drukhouders
6.2.3.7 Voorschriften voor fabrikanten
6.2.3.8 Voorschriften voor onderzoeksinstanties
6.2.3.9 Merktekens op hervulbare drukhouders
6.2.3.10 Merktekens op niet-hervulbare drukhouders
6.2.3.11 Bergingsdrukhouders
6.2.4 Voorschriften voor niet-UN-drukhouders, die volgens normen waarnaar wordt verwezen, zijn ontworpen, geconstrueerd en beproefd
6.2.4.2 Periodiek onderzoek en beproeving
6.2.5 Voorschriften voor niet-UN-drukhouders die niet volgens normen zijn ontworpen, geconstrueerd en beproefd
6.2.5.1 Materialen
6.2.5.2 Bedrijfsuitrusting
6.2.5.3 Metalen flessen, grote cilinders, drukvaten en flessenbatterijen
6.2.5.4 Aanvullende bepalingen die betrekking hebben op drukhouders vervaardigd van een aluminiumlegering voor samengeperste gassen, vloeibaar gemaakte gassen, opgeloste gassen en drukloze gassen die aan bijzondere voorschriften onderworpen zijn (gasmonsters), alsmede op voorwerpen die gas onder druk bevatten met uitzondering van spuitbussen en houders, klein, met gas (gaspatronen)
6.2.5.5 Drukhouders van composietmaterialen
6.2.5.6 Gesloten cryo-houders
6.2.6 Algemene voorschriften voor spuitbussen, houders, klein, met gas (gaspatronen), alsmede voor patronen voor brandstofcellen die een vloeibaar gemaakt, brandbaar gas bevatten
6.2.6.1 Ontwerp en constructie
6.2.6.2 Hydraulische drukproef
6.2.6.3 Dichtheidsproef
6.2.6.4 Verwijzing naar normen
     
Hoofdstuk 3    
6.3 Voorschriften voor de constructie en de beproeving van verpakkingen voor infectueuze (besmettelijke) stoffen van categorie A van klasse 6.2
6.3.1 Algemeen
6.3.2 Voorschriften voor verpakkingen
6.3.3 Code voor de aanduiding van de typen verpakkingen
6.3.4 Kenmerk
6.3.4.4 Voorbeeld van kenmerk
6.3.5 Beproevingseisen voor verpakkingen
6.3.5.1 Uitvoering en frequentie van de beproevingen
6.3.5.2 Voorbereiding van verpakkingen voor de beproeving
6.3.5.3 Valproef
6.3.5.4 Doorstootproef
6.3.5.5 Beproevingsrapport
     
Hoofdstuk 4    
6.4 Voorschriften voor de constructie, beproeving en goedkeuring van colli voor radioactieve stoffen en voor de goedkeuring van dergelijke stoffen
6.4.1 (Gereserveerd)
6.4.2 Algemene bepalingen
6.4.3 (Gereserveerd)
6.4.4 Bepalingen voor vrijgestelde colli
6.4.5 Bepalingen voor industriële colli
6.4.6 Bepalingen voor colli die uraniumhexafluoride bevatten
6.4.7 Bepalingen voor colli van type A
6.4.8 Bepalingen voor colli van type B(U)
6.4.9 Bepalingen voor colli van type B(M)
6.4.10 Bepalingen voor colli van type C
6.4.11 Bepalingen voor colli met splijtbare stoffen
6.4.12 Beproevingsprocedures en bewijs van overeenstemming
6.4.13 Beproeving van de goede staat van de borghouder en de afscherming en beoordeling van de veiligheid ten aanzien van criticaliteit
6.4.14 Trefplaat voor valproeven
6.4.15 Beproeving met het doel aan te tonen dat het collo normale vervoersomstandigheden kan doorstaan
6.4.16 Bijkomende beproevingen voor colli van type A ontworpen voor vloeistoffen en gassen
6.4.17 Beproevingen met het doel om aan te tonen dat het collo ongevalsomstandigheden tijdens het vervoer kan doorstaan
6.4.18 Verzwaarde onderdompelingsbeproeving in water voor colli van type B(U) en van type B(M) die meer dan 105 A2 bevatten en colli van type C
6.4.19 Beproeving van waterlekkage voor colli die splijtbare stoffen bevatten
6.4.20 Beproevingen voor colli van type C
6.4.21 Keuringen van verpakkingen ontworpen om ten minste 0,1 kg uraniumhexafluoride te bevatten
6.4.22 Goedkeuring van het model van colli en stoffen
6.4.23 Aanvragen voor goedkeuring en goedkeuring voor het vervoer van radioactieve stoffen
     
Hoofdstuk 5    
6.5 Voorschriften voor de constructie en beproeving van IBC’s
6.5.1 Algemene voorschriften
6.5.1.1 Toepassingsgebied
6.5.1.4 Coderingssysteem voor de kenmerking van IBC's
6.5.2 Kenmerk
6.5.2.1 Basiskenmerk
6.5.2.2 Aanvullende kenmerking
6.5.2.3 Overeenstemming met het ontwerptype
6.5.2.4 Kenmerk van omgebouwde combinatie-IBC’s (31HZ1)
6.5.3 Voorschriften voor de constructie
6.5.3.1 Algemene voorschriften
6.5.4 Beproeving, certificering en inspectie
6.5.4.4 Inspectie en beproeving
6.5.4.5 Gerepareerde IBC's
6.5.5 Bijzondere voorschriften voor IBC’s
6.5.5.1 Bijzondere voorschriften voor metalen IBC's
6.5.5.2 Bijzondere voorschriften voor flexibele IBC's
6.5.5.3 Bijzondere voorschriften voor IBC's van stijve kunststof
6.5.5.4 Bijzondere voorschriften voor combinatie-IBC's met binnenhouder van kunststof
6.5.5.5 Bijzondere voorschriften voor kartonnen IBC's
6.5.5.6 Bijzondere voorschriften voor houten IBC's
6.5.6 Voorschriften voor de beproeving van IBC’s
6.5.6.1 Uitvoering en herhaling van de beproevingen
6.5.6.2 Beproevingen van het ontwerptype
6.5.6.3 Voorbereiding van de IBC's voor de beproevingen
6.5.6.4 Hefproef (onderzijde)
6.5.6.5 Hefproef (bovenzijde)
6.5.6.6 Stapelproef
6.5.6.7 Dichtheidsproef
6.5.6.8 Hydraulische drukproef (beproeving met inwendige druk)
6.5.6.9 Valproef
6.5.6.10 Scheurproef
6.5.6.11 Kantelproef
6.5.6.12 Oprichtproef
6.5.6.13 Vibratietest
6.5.6.14 Beproevingsrapport
     
Hoofdstuk 6    
6.6 Voorschriften voor de constructie en de beproeving van grote verpakkingen
6.6.1 Algemeen
6.6.2 Code voor het aanduiden van typen grote verpakkingen
6.6.3 Kenmerk
6.6.4 Bijzondere voorschriften voor grote verpakkingen
6.6.4.1 Bijzondere voorschriften voor metalen grote verpakkingen
6.6.4.2 Bijzondere voorschriften voor grote verpakkingen van flexibel materiaal
6.6.4.3 Bijzondere voorschriften voor grote verpakkingen van kunststof
6.6.4.4. Bijzondere voorschriften voor grote verpakkingen van karton
6.6.4.5 Bijzondere voorschriften voor grote verpakkingen van hout
6.6.5 Beproevingsvoorschriften voor grote verpakkingen
6.6.5.1 Uitvoering en frequentie van de beproevingen
6.6.5.2 Voorbereiding voor de beproeving
6.6.5.3 Beproevingsvoorschriften
6.6.5.4 Certificering en beproevingsrapport
     
Hoofdstuk 7    
6.7 Voorschriften voor het ontwerp, de constructie, het onderzoek en de beproeving van transporttanks en UN-gascontainers met verscheidene elementen (MEGC’s)
6.7.1 Toepassing en algemene voorschriften
6.7.2 Voorschriften voor het ontwerp, de constructie, het onderzoek en de beproeving van transporttanks, bestemd voor het vervoer van stoffen van de klassen 1 en 3 t/m 9
6.7.2.2 Algemene voorschriften voor ontwerp en constructie
6.7.2.3 Ontwerpcriteria
6.7.2.4 Minimale wanddikte van het reservoir
6.7.2.5 Bedrijfsuitrusting
6.7.2.6 Openingen aan de onderzijde
6.7.2.7 Veiligheidsinrichtingen
6.7.2.8 Drukontlastingsinrichtingen
6.7.2.9 Instelling van drukontlastingsinrichtingen
6.7.2.10 Smeltveiligheden
6.7.2.11 Breekplaten
6.7.2.12 Capaciteit van drukontlastingsinrichtingen
6.7.2.13 Kenmerking van drukontlastingsinrichtingen
6.7.2.14 Aansluitingen naar drukontlastingsinrichtingen
6.7.2.15 Plaatsing van drukontlastingsinrichtingen
6.7.2.16 Peilinrichtingen
6.7.2.17 Steunen voor transporttanks, raamwerken, hijs- en bevestigingsinrichtingen
6.7.2.18 Goedkeuring van het ontwerp
6.7.2.19 Onderzoek en beproeving
6.7.2.20 Kenmerking
6.7.3 Voorschriften voor het ontwerp, de constructie, het onderzoek en de beproeving van transporttanks, bestemd voor het vervoer van niet sterk gekoelde, vloeibaar gemaakte gassen
6.7.3.1 Definities
6.7.3.2 Algemene voorschriften voor ontwerp en constructie
6.7.3.3 Ontwerpcriteria
6.7.3.4 Minimale wanddikte van het reservoir
6.7.3.5 Bedrijfsuitrusting
6.7.3.6 Openingen aan de onderzijde
6.7.3.7 Drukontlastingsinrichtingen
6.7.3.8 Capaciteit van ontlastingsinrichtingen
6.7.3.9 Kenmerking van drukontlastingsinrichtingen
6.7.3.10 Aansluitingen naar drukontlastingsinrichtingen
6.7.3.11 Plaatsing van drukontlastingsinrichtingen
6.7.3.12 Peilinrichtingen
6.7.3.13 Steunen, raamwerken, hijs- en bevestigingsinrichtingen voor transporttanks
6.7.3.14 Goedkeuring van het ontwerp
6.7.3.15 Onderzoek en beproeving
6.7.3.16 Kenmerking
6.7.4 Voorschriften voor het ontwerp, de constructie, het onderzoek en de beproeving van transporttanks, bestemd voor het vervoer van sterk gekoelde, vloeibaar gemaakte gassen van klasse 2
6.7.4.1 Definities
6.7.4.2 Algemene voorschriften voor ontwerp en constructie
6.7.4.3 Ontwerpcriteria
6.7.4.4 Minimale wanddikte van het reservoir
6.7.4.5 Bedrijfsuitrusting
6.7.4.6 Drukontlastingsinrichtingen
6.7.4.7 Capaciteit en instelling van drukontlastingsinrichtingen
6.7.4.8 Kenmerking van drukontlastingsinrichtingen
6.7.4.9 Aansluitingen naar drukontlastingsinrichtingen
6.7.4.10 Plaatsing van drukontlastingsinrichtingen
6.7.4.11 Peilinrichtingen
6.7.4.12 Steunen voor transporttanks, raamwerken, hijs- en bevestigingsinrichtingen.
6.7.4.13 Goedkeuring van het ontwerp
6.7.4.14 Onderzoek en beproeving
6.7.4.15 Kenmerking
6.7.5 Voorschriften voor het ontwerp, de constructie, het onderzoek en de beproeving van UN-gascontainers met verscheidene elementen (MEGC's), bestemd voor het vervoer van niet sterk gekoelde gassen.
6.7.5.1 Definities
6.7.5.2 Algemene ontwerp- en constructievoorschriften
6.7.5.3 Bedrijfsuitrusting
6.7.5.4 Drukontlastingsinrichtingen
6.7.5.5 Capaciteit van drukontlastingsinrichtingen
6.7.5.6 Kenmerking van drukontlastingsinrichtingen
6.7.5.7 Aansluitingen naar drukontlastingsinrichtingen
6.7.5.8 Plaatsing van drukontlastingsinrichtingen
6.7.5.9 Peilinrichtingen
6.7.5.10 Steunen, raamwerken, hijs- en bevestigingsinrichtingen voor MEGC's
6.7.5.11 Goedkeuring van het ontwerp
6.7.5.12 Onderzoek en beproeving
6.7.5.13 Kenmerking
     
Hoofdstuk 8    
6.8 Voorschriften voor de constructie, uitrusting, typegoedkeuring, het onderzoek en de beproeving en de kenmerking van vaste tanks (tankwagens), afneembare tanks en tankcontainers en wissellaadtanks, met reservoirs van metaal, en batterijwagens en gascontainers met verscheidene elementen (MEGC's)
6.8.1 Toepassingsgebied
6.8.2 Voorschriften van toepassing op alle klassen
6.8.2.1 Constructie,Basisprincipes, Materialen van de reservoirs,Minimale wanddikte van het reservoir, Het lassen en het onderzoek van de lasverbindingen
6.8.2.2 Uitrustingsdelen
6.8.2.3 Typegoedkeuring
6.8.2.4 Onderzoek en beproevingen
6.8.2.5 Kenmerking
6.8.2.6 Voorschriften voor tanks die volgens normen waarnaar wordt verwezen, zijn ontworpen, geconstrueerd en beproefd
6.8.2.6.2 Onderzoek en beproeving
6.8.2.7 Voorschriften voor tanks die niet volgens normen waarnaar verwezen wordt, zijn ontworpen, geconstrueerd en beproefd
6.8.3 Bijzondere voorschriften van toepassing op klasse 2
6.8.3.1 Constructie van reservoirs, Constructie van batterijwagens en MEGC's
6.8.3.2 Uitrustingsdelen, Warmte-isolerende beschermingen, Uitrustingsdelen voor batterijwagens en MEGC's
6.8.3.3 Typegoedkeuring
6.8.3.4 Onderzoek en beproevingen, Onderzoek en beproevingen van batterijwagens en MEGC's
6.8.3.5 Kenmerking, Kenmerking van batterijwagens en MEGC's
6.8.3.6 Voorschriften voor batterijwagens en MEGC’s die worden ontworpen, geconstrueerd en beproefd overeenkomstig normen waarnaar wordt verwezen
6.8.3.7 Voorschriften voor batterijwagens en MEGC's die niet volgens normen waarnaar wordt verwezen zijn ontworpen, geconstrueerd en beproefd
6.8.4 Bijzondere bepalingen
6.8.5 Voorschriften betreffende de materialen en constructie van vaste gelaste tanks, afneembare gelaste tanks en gelaste reservoirs van tankcontainers waarvoor een beproevingsdruk van ten minste 1 MPa (10 bar) is voorgeschreven en van vaste gelaste tanks, afneembare gelaste tanks en gelaste reservoirs van tankcontainers bestemd voor het vervoer van sterk gekoelde, vloeibaar gemaakte gassen van klasse 2
6.8.5.1 Materialen en reservoirs
6.8.5.2 Beproevingsvoorschriften
6.8.5.2.1 Stalen reservoirs
6.8.5.2.2 Reservoirs van aluminium of van aluminiumlegeringen
6.8.5.2.3 Reservoirs van koper of koperlegeringen
6.8.5.3 Kerfslagproeven
6.8.5.4 Verwijzing naar normen
     
Hoofdstuk 9    
6.9 Voorschriften voor het ontwerp, de constructie, uitrusting, typegoedkeuring, beproeving en kenmerking van vaste tanks (tankwagens), afneembare tanks, tankcontainers en wissellaadtanks van vezelgewapende kunststof
6.9.1 Algemeen
6.9.2 Constructie
6.9.2.3 Grondstoffen
6.9.2.3.2 Harsen
6.9.2.3.3 Versterkingsvezels
6.9.2.3.4 Materiaal voor thermoplastische bekleding
6.9.2.3.5 Additieven
6.9.2.14 Bijzondere voorschriften voor het vervoer van stoffen met een vlampunt ten hoogste 60 oC
6.9.3 Uitrustingsdelen
6.9.4 Typekeuring en typegoedkeuring
6.9.4.2 Materiaalbeproeving
6.9.4.3 Typekeuring
6.9.4.4 Typegoedkeuring
6.9.5 Inspecties
6.9.6 Kenmerking
     
Hoofdstuk 10    
6.10 Voorschriften voor de constructie, de uitrusting, de typegoedkeuring, het onderzoek en de kenmerking van druk/vacuümtanks (voor afvalstoffen)
6.10.1 Algemeen
6.10.1.1 Definitie
6.10.1.2 Toepassingsgebied
6.10.2 Constructie
6.10.3 Uitrustingsdelen
     
Hoofdstuk 11    
6.11 Voorschriften voor het ontwerp, de constructie, het onderzoek en de beproeving van bulkcontainers
6.11.2 Toepassing en algemene voorschriften
6.11.2.3 Code voor het aanduiden van typen bulkcontainers
6.11.3 Voorschriften voor het ontwerp, de constructie, het onderzoek en de beproeving van BK1- of BK2-containers die voldoen aan de CSC en die als bulkcontainers gebruikt worden
6.11.3.1 Ontwerp- en constructievoorschriften
6.11.3.2 Bedrijfsuitrusting
6.11.3.3 Onderzoek en beproeving
6.11.3.4 Kenmerking
6.11.4 Voorschriften voor het ontwerp, de constructie en de goedkeuring van BK1- en BK2-bulkcontainers met uitzondering van containers die voldoen aan de CSC
6.11.5 Voorschriften voor het ontwerp, de constructie, het onderzoek en de beproeving van flexibele bulkcontainers (BK3)
6.11.5.1 Voorschriften voor ontwerp en constructie
6.11.5.2 Bedrijfsuitrusting en voorzieningen voor de behandeling
6.11.5.3 Onderzoek en beproeving
6.11.5.4 Beproevingsrapport
6.11.5.5 Kenmerking
     
Hoofdstuk 12    
6.12 Voorschriften voor de constructie, uitrusting, typegoedkeuring, onderzoeken en beproevingen en kenmerking van tanks, bulkcontainers en speciale compartimenten voor ontplofbare stoffen of voorwerpen van mobiele eenheden voor de fabricage van ontplofbare stoffen of voorwerpen (MEMU's)
6.12.1 Toepassingsgebied
6.12.2 Algemene bepalingen
6.12.3 Tanks
6.12.3.1 Tanks met een inhoud van 1000 liter of meer
6.12.3.2 Tanks met een inhoud van minder dan 1000 liter
6.12.4 Uitrustingsdelen
6.12.5 Speciale compartimenten voor ontplofbare stoffen en voorwerpen
     
Hoofdstuk 13    
6.13.1 Algemeen
6.13.2 Constructie
6.13.3 Uiitrustingsdelen
6.13.4 Typekeuring & Typegoedkeuring
6.13.5 Inspecties
6.13.6 Kenmerking
DEEL 7 - Voorschriften inzake het vervoer, het laden, lossen en de behandeling
Hoofdstuk 1    
7.1 Algemene voorschriften en bijzondere bepalingen voor temperatuurbeheersing
     
Hoofdstuk 2    
7.2 Voorschriften inzake het vervoer in colli
     
Hoofdstuk 3    
7.3 Voorschriften inzake het vervoer als los gestort goed
7.3.1 Algemene voorschriften
7.3.2 Voorschriften voor het vervoer als los gestort goed indien de voorschriften van 7.3.1.1 a) worden toegepast.
7.3.2.3 Goederen van klasse 4.2
7.3.2.4 Goederen van klasse 4.3
7.3.2.5 Goederen van klasse 5.1
7.3.2.6 Goederen van klasse 6.2
7.3.2.6.2 Afvalstoffen van klasse 6.2 (UN 3291)
7.3.2.7 Stoffen van klasse 7
7.3.2.8 Goederen van klasse 8
7.3.2.9 Goederen van klasse 9
7.3.2.10 Gebruik van flexibele bulkcontainers
7.3.3 Bijzondere bepalingen voor het vervoer als los gestort goed indien de voorschriften van 7.3.1.1 b) worden toegepast
     
Hoofdstuk 4    
7.4 Voorschriften inzake vervoer in tanks
     
Hoofdstuk 5    
7.5 Voorschriften inzake het laden, lossen en de behandeling
7.5.1 Algemene voorschriften inzake het laden, lossen en de behandeling
7.5.2 Samenladingsverboden
7.5.4 Voorzorgsmaatregelen met betrekking tot levens- en genotsmiddelen en voer voor dieren
7.5.5 Beperking van de vervoerde hoeveelheden
7.5.5.2 Beperkingen met betrekking tot ontplofbare stoffen en voorwerpen
7.5.5.2.1 Te vervoeren stoffen en hoeveelheden
7.5.5.2.3 Vervoer van ontplofbare stoffen en voorwerpen op MEMU's
7.5.7 Behandeling en stuwage
7.5.7.6 Laden van flexibele bulkcontainers
7.5.8 Reiniging na het lossen
7.5.9 Rookverbod
7.5.10 Voorzorgsmaatregelen tegen elektrostatische ladingen
7.5.11 Aanvullende voorschriften voor bepaalde klassen of specifieke goederen
     
Bijlage B   Bepalingen betreffende de vervoermiddelen en het vervoer
DEEL 8 - Voorschriften voor de bemanning, uitrusting en exploitatie van het voertuig en documentatie
Hoofdstuk 1    
8.1 Algemene voorschriften inzake transporteenheden en boorduitrusting
8.1.1 Transporteenheden
8.1.2 Aan boord van de transporteenheid mee te voeren documenten
8.1.3 Het aanbrengen van grote etiketten en kenmerking
8.1.4 Brandbestrijdingsuitrusting
8.1.5 Uitrusting van uiteenlopende aard en uitrusting voor persoonlijke bescherming
     
Hoofdstuk 2    
8.2 Voorschriften inzake de opleiding van de bemanning van het voertuig
8.2.1 Toepassing en algemene voorschriften inzake de opleiding van bestuurders
8.2.2 Bijzondere voorschriften inzake de opleiding van bestuurders
8.2.2.3 Structuur van de opleiding
8.2.2.4 Programma voor de aanvangscursus
8.2.2.5 Programma voor de herhalingsopleiding
8.2.2.6 Goedkeuring van de opleiding
8.2.2.7 Examens
8.2.2.7.1 Examens voor de basisopleidingscursus
8.2.2.7.2 Examens voor de specialisatieopleidingscursussen voor het vervoer in tanks of voor het vervoer van stoffen en voorwerpen van klasse 1 of radioactieve stoffen van klasse 7
8.2.2.8 Het vakbekwaamheidscertificaat van de bestuurder
8.2.2.8.5 Model van het opleidingscertificaat voor bestuurders van voertuigen die gevaarlijke goederen vervoeren
8.2.3 De opleiding van personen - met uitzondering van bestuurders die in het bezit zijn van een certificaat volgens 8.2.1 - die bij het vervoer van gevaarlijke goederen over de weg betrokken zijn
     
Hoofdstuk 3    
8.3 Diverse voorschriften waaraan de bemanning van het voertuig moet voldoen
8.3.1 Passagiers
8.3.2 Het gebruik van brandblusapparaten
8.3.3 Verbod op het openen van colli
8.3.4 Draagbare verlichtingsapparaten
8.3.5 Rookverbod
8.3.6 Het laten draaien van de motor tijdens laden of lossen
8.3.7 Gebruik van de parkeerrem en de stopblokken
8.3.8 Gebruik betrokken zijn
     
Hoofdstuk 4    
8.4 Voorschriften betreffende het toezicht op voertuigen
     
Hoofdstuk 5    
8.5 Aanvullende voorschriften met betrekking tot specifieke klassen of goederen
     
Hoofdstuk 6    
8.6 Beperkingen voor de doorgang door tunnels voor het wegverkeer van voertuigen die gevaarlijke goederen vervoeren
8.6.1 Algemene bepalingen
8.6.2 Verkeerstekens en symbolen voor het wegverkeer, van toepassing op de doorgang van voertuigen die gevaarlijke goederen vervoeren.
8.6.3 Codes voor beperkingen in tunnels
8.6.4 Beperkingen voor de doorgang van transporteenheden die gevaarlijke goederen vervoeren door tunnels
     
DEEL 9 - Voorschriften inzake de constructie en goedkeuring van voertuigen
Hoofdstuk 1    
9.1 Toepassingsgebied, definities en voorschriften voor de goedkeuring van voertuigen
9.1.1 Toepassingsgebied en definities
9.1.1.1 Toepassingsgebied
9.1.1.2 Definities
9.1.2 Goedkeuring van EX/II-, EX/III-, FL - en AT-voertuigen en MEMU’s
9.1.2.1 Algemeen
9.1.2.2 Voorschriften voor voertuigen met typegoedkeuring
9.1.2.3 Jaarlijks technisch onderzoek
9.1.3 Certificaat van goedkeuring
9.1.3.5 Model voor het certificaat van goedkeuring voor voertuigen die bepaalde gevaarlijke goederen vervoeren
     
Hoofdstuk 2    
9.2 Voorschriften inzake de constructie van voertuigen
9.2.1 Overeenstemming met de voorschriften van dit hoofdstuk
9.2.2 Elektrische uitrusting
9.2.2.1 Algemene voorschriften
9.2.2.2 Bedrading
9.2.2.3 Zekeringen en stroomonderbrekers
9.2.2.4 Accu's
9.2.2.5 Verlichting
9.2.2.6 Elektrische verbindingen tussen motorvoertuigen en aanhangwagens
9.2.2.7 Spanning
9.2.2.8 Hoofdschakelaar voor de accu
9.2.2.9 Stroomkringen met permanente voeding
9.2.3 Reminrichting
9.2.3.1 Algemene voorschriften
9.2.4 Voorkomen van brandgevaar
9.2.4.1 Algemene voorschriften
9.2.4.3 Brandstoftanks
9.2.4.5 Uitlaatsysteem
9.2.4.6 Duurremsysteem
9.2.4.7 Verwarmingssystemen op brandstof
9.2.5 Snelheidsbegrenzer
9.2.6 Koppelingen van motorvoertuigen en aanhangwagens
9.2.7 Voorkomen van andere risico's veroorzaakt door brandstoffen
     
Hoofdstuk 3    
9.3 Aanvullende voorschriften inzake complete of afgebouwde EX/II- of EX/III-voertuigen, bestemd voor het vervoer van ontplofbare stoffen en voorwerpen (klasse 1) in colli
9.3.1 Te gebruiken materialen voor de constructie van voertuigopbouwen
9.3.2 Verwarmingssystemen op brandstof
9.3.3 EX/II-voertuigen
9.3.4 EX/III-voertuigen
9.3.5 Motor en laadcompartiment
9.3.6 Uitwendige warmtebronnen en de laadruimte
9.3.7 Elektrische uitrusting
     
Hoofdstuk 4    
9.4 Aanvullende voorschriften inzake de constructie van de opbouwen van complete of afgebouwde voertuigen, bestemd voor het vervoer van gevaarlijke goederen in colli (met uitzondering van EX/II- en EX/III-voertuigen)
     
Hoofdstuk 5    
9.5 Aanvullende voorschriften inzake de constructie van de opbouwen van complete of afgebouwde voertuigen, bestemd voor het vervoer van gevaarlijke vaste stoffen als losgestort goed
     
Hoofdstuk 6    
9.6 Aanvullende voorschriften inzake complete of afgebouwde voertuigen, bestemd voor het vervoer van stoffen onder temperatuurbeheersing
     
Hoofdstuk 7    
9.7 Aanvullende voorschriften inzake tankwagens (vaste tanks) batterijwagens en complete of afgebouwde voertuigen, die worden gebruikt voor het vervoer van gevaarlijke goederen in afneembare tanks met een inhoud groter dan 1 m3 of in tankcontainers, transporttanks of MEGC’s met een inhoud groter dan 3 m3 (EX/III-, FL- en AT-voertuigen)
9.7.1 Algemene voorschriften
9.7.2 Voorschriften inzake tanks
9.7.3 Bevestiging
9.7.4 Equipotentiaalverbinding van FL-voertuigen
9.7.5 Stabiliteit van tankwagens
9.7.6 Bescherming aan de achterzijde van voertuigen
9.7.7 Verwarmingssystemen op brandstof
9.7.8 Elektrische uitrusting
9.7.9 Aanvullende veiligheidsvoorschriften betreffende EX/III-voertuigen
     
Hoofdstuk 8    
9.8 Aanvullende voorschriften inzake complete en afgebouwde MEMU’s
9.8.1 Algemene bepalingen
9.8.2 Voorschriften inzake tanks en bulkcontainers
9.8.3 Equipotentiaalverbinding van MEMU's
9.8.4 Stabiliteit van MEMU's
9.8.5 Bescherming aan de achterzijde van MEMU's
9.8.6 Verwarmingssystemen op brandstof
9.8.7 Aanvullende veiligheidsvoorschriften
9.8.8 Aanvullende beveiligingsvoorschriften
     

HOOFDSTUK 4.3
GEBRUIK VAN VASTE TANKS (TANKWAGENS), AFNEEMBARE TANKS, TANKCONTAINERS EN WISSELLAADTANKS MET METALEN RESERVOIRS EN BATTERIJWAGENS EN GASCONTAINERS MET VERSCHEIDENE ELEMENTEN (MEGC's)

Opmerking:

  • Voor transporttanks en UN-gascontainers met verscheidene elementen (MEGC’s) zie hoofdstuk 4.2;
  • voor tanks van vezelgewapende kunststof, zie hoofdstuk 4.4;
  • voor druk/vacuümtanks (voor afvalstoffen), zie hoofdstuk 4.5.

4.3.1
25

Toepassingsgebied

4.3.1.1

Voorschriften die de gehele breedte van de pagina innemen, zijn zowel van toepassing op vaste tanks (tankwagens), afneembare tanks en batterijwagens, als op tankcontainers, wissellaadtanks en MEGC's.
Voorschriften die zich in een enkele kolom bevinden, zijn alleen van toepassing op:

  • vaste tanks (tankwagens), afneembare tanks en batterijwagens (linker kolom);
  • tankcontainers, wissellaadtanks en MEGC's (rechter kolom).

 

4.3.1.2

Deze voorschriften zijn van toepassing op:

vaste tanks (tankwagens),
afneembare tanks en
batterijwagens

 

tankcontainers, wissellaadtanks en MEGC’s

die worden gebruikt voor het vervoer van gasvormige, vloeibare, poedervormige of korrelvormige stoffen.

 

4.3.1.3

In sectie 4.3.2 zijn de voorschriften opgesomd, die van toepassing zijn op vaste tanks (tankwagens), afneembare tanks, tankcontainers en wissellaadtanks, bestemd voor het vervoer van stoffen van alle klassen, en op batterijwagens en MEGC's, bestemd voor het vervoer van gassen van klasse 2.

De secties 4.3.3 en 4.3.4 bevatten bijzondere bepalingen die een aanvulling vormen op of een afwijking inhouden van de voorschriften van sectie 4.3.2.

 

4.3.1.4

Voor voorschriften betreffende de constructie, uitrusting, typegoedkeuring, onderzoek, beproevingen en kenmerking, zie hoofdstuk 6.8.

 

4.3.1.5

Voor overgangsvoorschriften betreffende de toepassing van dit hoofdstuk, zie

4.3.2

Voorschriften van toepassing op alle klassen

4.3.2.1

Gebruik

4.3.2.1.1

Een aan het ADR onderworpen stof mag alleen in vaste tanks (tankwagens), afneembare tanks, batterijwagens, tankcontainers, wissellaadtanks en MEGC's worden vervoerd, indien er volgens 4.3.3.1.1 en 4.3.4.1.1 in kolom (12) van tabel A in hoofdstuk 3.2 een tankcode is aangegeven.

 

4.3.2.1.2

Het vereiste type tank, batterijwagen en MEGC wordt in kolom (12) van tabel A in hoofdstuk 3.2 gegeven in de vorm van een code. De aldaar opgegeven identificatiecodes bestaan uit letters of cijfers in een bepaalde volgorde.

De verklaring van de vier delen van de code wordt gegeven in 4.3.3.1.1 (indien de te vervoeren stof tot klasse 2 behoort) en in 4.3.4.1.1 (indien de te vervoeren stof tot de klassen 1 en 3 t/m 9 behoort).*

* Voor tanks bestemd voor het vervoer van stoffen van de klassen 1, 5.2 of 7 wordt een uitzondering gemaakt (zie 4.3.4.1.3).

 

4.3.2.1.3

Het volgens 4.3.2.1.2 vereiste type stemt overeen met de minst stringente constructie-eisen die voor de betrokken gevaarlijke stof aanvaardbaar zijn, tenzij in dit hoofdstuk of in hoofdstuk 6.8 anders is bepaald.

Het is mogelijk tanks te gebruiken die beantwoorden aan codes die een hogere minimale berekeningsdruk, of stringentere voorschriften voor vul- of losopeningen of voor veiligheidskleppen/-inrichtingen voorschrijven (zie 4.3.3.1.1 voor klasse 2 en 4.3.4.1.1 voor de klassen 3 t/m 9).

 

4.3.2.1.4

Voor bepaalde stoffen zijn tanks, batterijwagens of MEGC's onderworpen aan aanvullende voorschriften, die als bijzondere bepalingen in kolom (13) van tabel A in hoofdstuk 3.2 zijn opgenomen.

 

4.3.2.1.5

Tanks, batterijwagens en MEGC's mogen slechts worden beladen met de gevaarlijke stoffen, voor het vervoer waarvan ze volgens 6.8.2.3.1 zijn toegelaten, en die in aanraking met de materialen van het reservoir, de pakkingen, de uitrusting, alsook de beschermende bekleding niet gevaarlijk kunnen reageren (zie "gevaarlijke reactie" in 1.2.1), gevaarlijke producten kunnen vormen of deze materialen merkbaar kunnen verzwakken.*

* Het kan noodzakelijk zijn advies in te winnen bij de fabrikant van de stof en de bevoegde autoriteit voor advies omtrent de verenigbaarheid van de stof met de materialen van de tank, batterijwagen of MEGC.

 

4.3.2.1.6

Levensmiddelen mogen niet vervoerd worden in tanks die gebruikt worden voor gevaarlijke goederen, tenzij de noodzakelijke maatregelen zijn genomen ter voorkoming van enig gevaar voor de volksgezondheid.

 

4.3.2.1.7

Het tankdossier moet worden bewaard door de eigenaar of de exploitant, die in staat moet zijn deze documentatie op verzoek van de bevoegde autoriteit te verschaffen. Het tankdossier moet gedurende de gehele levensduur van de tank worden bijgehouden en 15 maanden worden bewaard nadat de tank buiten bedrijf is gesteld.

Bij verandering van eigenaar of exploitant gedurende de levensduur van de tank moet het tankdossier onverwijld worden overgedragen aan de nieuwe eigenaar of exploitant.

Kopieën van het tankdossier of alle noodzakelijke documenten moeten ter beschikking worden gesteld aan de deskundige voor beproevingen, inspecties en controles van tanks in overeenstemming met 6.8.2.4.5 of 6.8.3.4.18, in verband met periodieke onderzoeken of buitengewone onderzoeken.

Opmerking: Het tankdossier mag als alternatief worden bijgehouden in elektronische vorm.

 

4.3.2.2

Vullingsgraad

4.3.2.2.1

De volgende vullingsgraden mogen niet worden overschreden bij tanks, bestemd voor het vervoer van stoffen die bij normaal voorkomende temperaturen vloeibaar zijn:

  1. voor brandbare stoffen, milieugevaarlijke stoffen en brandbare milieugevaarlijke stoffen zonder bijkomende gevaarseigenschappen (bv. giftig, bijtend), in tanks, voorzien van een be- en ontluchtingsinrichting of van veiligheidskleppen (ook indien deze worden voorafgegaan door een breekplaat):

4.3.2.2.1 1

  1. voor giftige of bijtende stoffen (al dan niet brandbaar of milieugevaarlijk), in tanks, voorzien van een be- en ontluchtingsinrichting of van veiligheidskleppen (ook indien deze worden voorafgegaan door een breekplaat):

4.3.2.2.1 2

  1. voor brandbare stoffen, voor milieugevaarlijke stoffen en voor zwak giftige of zwak bijtende stoffen (al dan niet brandbaar of milieugevaarlijk), in hermetisch gesloten tanks zonder veiligheidsinrichting:

4.3.2.2.1 3

  1. voor zeer giftige of giftige, sterk bijtende of bijtende stoffen (al dan niet brandbaar of milieugevaarlijk), in hermetisch gesloten tanks zonder veiligheidsinrichting:

4.3.2.2.1 4

 

4.3.2.2.2

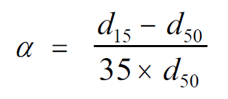
In deze formules is α de gemiddelde kubieke uitzettingscoëfficiënt van de vloeistof tussen 15 oC en
50 oC, d.w.z. bij een maximale temperatuursverandering van 35 oC.

α wordt volgens de volgende formule berekend:

4.3.2.2.2 1

waarin d15 en d50 de relatieve dichtheden van de vloeistof zijn bij respectievelijk 15 oC en 50 oC. tF is de gemiddelde temperatuur van de vloeistof tijdens het vullen. 

 

4.3.2.2.3

Het bepaalde in 4.3.2.2.1 a) t/m d) hierboven is niet van toepassing op tanks waarvan de inhoud tijdens het vervoer door een verwarmingsinstallatie op een temperatuur van meer dan 50 oC wordt gehouden.

In dit geval moet de vullingsgraad bij het begin van het vervoer zodanig zijn en moet de temperatuur op zodanige wijze geregeld worden, dat de tank tijdens het vervoer nooit voor meer dan 95% is gevuld en de vultemperatuur niet wordt overschreden.

Het bepaalde in 4.3.2.2.1 a) t/m d) hierboven is niet van toepassing op tanks die
vloeistoffen vervoeren bij een temperatuur van meer dan 50 °C.
De vullingsgraad van: 

  1. Vloeibare stoffen vervoerd bij een temperatuur van meer dan 50 °C; 
  2. Vloeibare stoffen gevuld bij een temperatuur minder dan 50 °C maar bedoeld om tijdens het vervoer verwarmd te worden tot hoger dan 50 °C, en 
  3. Vaste stoffen vervoerd boven hun smeltpunt,

moet bij aanvang van het vervoer zodanig zijn dat de maximale vullingsgraad van de tank te allen tijde tijdens vervoer ten hoogste 95% is.

De maximale vullingsgraad wordt volgens de volgende formule berekend:

4.3.2.2.3

waarin df en dr de dichtheden van de stof zijn bij respectievelijk de gemiddelde temperatuur tijdens het vullen en de maximale gemiddelde temperatuur van de lading tijdens het vervoer.

Tanks met een verwarmingsinstallatie moeten de temperatuur dusdanig reguleren dat de maximale vullingsgraad van 95 % niet wordt overschreden tijdens het vervoer.

4.3.2.2.4

Reservoirs bestemd voor het vervoer van stoffen in vloeibare toestand, vloeibaar gemaakte gassen
of sterk gekoelde, vloeibaar gemaakte gassen, die niet door scheidingswanden of slingerschotten in
afdelingen met een inhoud van ten hoogste 7500 liter zijn verdeeld, moeten tot ten minste 80 % of
ten hoogste 20 % van hun inhoud zijn gevuld.

Deze bepaling is niet van toepassing op:

  • vloeistoffen met een kinematische viscositeit bij 20 °C van ten minste 2680 mm2/s;
  • gesmolten stoffen met een kinematische viscositeit bij de vultemperatuur van ten minste 2680
    mm2/s;
  • UN 1963 HELIUM, STERK GEKOELD, VLOEIBAAR en UN 1966 WATERSTOF, STERK
    GEKOELD, VLOEIBAAR.

 

4.3.2.3

Bedrijf

4.3.2.3.1

De dikte van de wanden van het reservoir moet gedurende de gehele gebruiksduur groter zijn dan of
gelijk zijn aan de minimum waarde, voorgeschreven in:

4.3.2.3.2

 

 

 

 

De tankcontainers/MEGC's moeten tijdens het vervoer zodanig op het voertuig zijn geladen, dat zij door de inrichtingen van het voertuig of van de tankcontainer/MEGC zelf voldoende beschermd zijn tegen schokken in dwars- en lengterichting, alsmede tegen kantelen.* Indien de tankcontainers/MEGC’s, met inbegrip van de bedrijfsuitrusting, zodanig zijn geconstrueerd, dat zij bestand zijn tegen schokken of tegen kantelen, is het niet nodig ze op deze wijze te beschermen.

* Voorbeelden van wijzen van bescherming van reservoirs:

  • De bescherming tegen botsingen van opzij kan bijvoorbeeld bestaan uit in de lengterichting aangebrachte profielen, die het reservoir aan beide zijden ter hoogte van de middellijn beschermen;
  • De bescherming tegen kantelen kan bijvoorbeeld bestaan uit versterkingsringen of profielen die dwars op het frame zijn bevestigd;
  • De bescherming tegen stoten van achter kan bijvoorbeeld bestaan uit een stootbalk of uit een frame.

4.3.2.3.3

Bij het vullen en lossen van de tanks, batterijwagens en MEGC's moeten geschikte maatregelen worden genomen om te verhinderen dat gevaarlijke hoeveelheden gassen en dampen vrijkomen.

De tanks, batterijwagens en MEGC's moeten zodanig gesloten zijn dat van de inhoud niets ongecontroleerd naar buiten kan treden.

De openingen van tanks met onderlossing moeten gesloten worden door middel van schroefdoppen, blindflenzen of andere even doelmatige voorzieningen.

Na het vullen moet de vuller ervoor zorgen dat alle sluitingsinrichtingen van de tanks, batterijwagens en MEGC's in een gesloten positie zijn en dat er geen lekkage optreedt. Dit geldt ook voor het bovenste gedeelte van de standpijp.

 

4.3.2.3.4

Indien meerdere afsluitinrichtingen achter elkaar zijn aangebracht, moet de inrichting die zich het dichtst bij de vervoerde stof bevindt, het eerst worden gesloten.

 

4.3.2.3.5

Tijdens het vervoer mogen zich aan de buitenzijde van de tanks geen gevaarlijke resten van de vervoerde stof bevinden.

 

4.3.2.3.6

Stoffen die op gevaarlijke wijze met elkaar kunnen reageren, mogen niet worden vervoerd in direct aan elkaar grenzende compartimenten van de tank.

Stoffen die gevaarlijk met elkaar kunnen reageren mogen in direct aan elkaar grenzende compartimenten van de tank worden vervoerd, indien deze compartimenten zijn gescheiden door een wand waarvan de dikte gelijk aan of groter is dan die van de tank.

Zij mogen ook worden vervoerd in compartimenten van eenzelfde tank indien de beladen compartimenten zijn gescheiden door een lege ruimte of een leeg compartiment.

 

4.3.2.3.7

Vaste tanks (tankwagens), afneembare tanks, batterijwagens, tankcontainers, wissellaadtanks en MEGC’s mogen niet gevuld of ten vervoer worden aangeboden na de voor de inspectie vastgelegde datum zoals vereist in 6.8.2.4.2, 6.8.2.4.3, 6.8.3.4.6 en 6.8.3.4.12.

Vaste tanks (tankwagens), afneembare tanks, batterijwagens, tankcontainers, wissellaadtanks en MEGC’s die evenwel zijn gevuld vóór het verstrijken van de termijn vastgesteld voor het laatste periodieke onderzoek mogen worden vervoerd:

  1. binnen een termijn van ten hoogste een maand na de vastgelegde datum indien dit een periodieke inspectie betreft in overeenstemming met 6.8.2.4.2, 6.8.3.4.6(a) en 6.8.3.4.12;
  2. tenzij met toestemming van de bevoegde autoriteit, binnen een termijn van ten hoogste drie maanden na het verstrijken van de vastgelegde datum, indien de eerstvolgende inspectie een periodieke inspectie betreft in overeenstemming met 6.8.2.4.2, 6.8.3.4.6(a) en 6.8.3.4.12, om de terugzending van gevaarlijke goederen of resten mogelijk te maken, teneinde deze op een passende wijze te verwijderen of te recycleren. Een verwijzing naar deze vrijstelling moet in het vervoersdocument worden opgenomen;
  3. voor een periode niet langer dan drie maanden na de vastgelegde datum indien de eerstvolgende inspectie een tussentijdse inspectie betreft in overeenstemming met 6.8.2.4.3, 6.8.3.4.6(b) en 6.8.3.4.12

4.3.2.4

Lege, ongereinigde tanks, batterijwagens en MEGC's

Opmerking: Voor lege, ongereinigde tanks, batterijwagens en MEGC's kunnen de bijzondere bepalingen TU1, TU2, TU4, TU16 en TU35 van 4.3.5 van toepassing zijn.

 

4.3.2.4.1

Tijdens het vervoer mogen zich aan de buitenzijde van de tanks geen gevaarlijke resten van de vervoerde stof bevinden.

 

4.3.2.4.2

Lege, ongereinigde tanks, baterijwagens en MEGC’s moeten, om tot het vervoer te kunnen worden toegelaten, op dezelfde wijze gesloten zijn en dezelfde waarborgen inzake de dichtheid bieden als in gevulde toestand.

 

4.3.2.4.3

Indien lege, ongereinigde tanks, batterijwagens en MEGC's niet op dezelfde wijze gesloten worden en niet in dezelfde mate dicht zijn als in volle toestand en indien niet aan de voorschriften van het ADR kan worden voldaan, moeten zij, met gepaste zorg voor voldoende veiligheid naar de dichtstbijzijnde geschikte plaats worden vervoerd waar reiniging of reparatie kan plaatsvinden.

Het vervoer is voldoende veilig indien geschikte maatregelen zijn genomen om een gelijkwaardig veiligheidsniveau te waarborgen, dat in verhouding staat tot de voorschriften van het ADR en om het ongecontroleerd vrijkomen van de gevaarlijke stoffen te voorkomen.

 

4.3.2.4.4

Ongereinigde lege vaste tanks (tankwagens), afneembare tanks, batterijwagens, tankcontainers, wissellaadtanks en MEGC's mogen na het verstrijken van de in 6.8.2.4.2 en 6.8.2.4.3 vastgestelde termijnen worden vervoerd, teneinde aan het onderzoek te worden onderworpen.

 

4.3.3

Bijzondere bepalingen van toepassing op klasse 2

4.3.3.1

De codering en hiërarchie van tanks

4.3.3.1.1

De codering van tanks, batterijwagens en MEGC's
De vier delen van de in kolom (12) van tabel A in hoofdstuk 3.2 gegeven codes (tankcodes) hebben de volgende betekenissen:

DEEL  OMSCHRIJVING TANKCODE
1 Type tank, batterijwagen of MEGC

C = tank, batterijwagen of MEGC voor samengeperste gassen

P = tank, batterijwagen of MEGC voor vloeibaar gemaakte gassen of opgeloste gassen

R = tank voor sterk gekoelde, vloeibaar gemaakte gassen

2 Berekeningsdruk X = waarde   van   de   minimale   beproevingsdruk   van   toepassing volgens de tabel in 4.3.3.2.5 of 22 = minimale berekeningsdruk in bar
3 Openingen (zie 6.8.2.2
en 6.8.3.2)

B = tank met openingen voor het vullen of lossen aan de onderzijde met 3 sluitingen; of batterijwagen of MEGC met openingen onder de vloeistofspiegel of voor samengeperste gassen

C = tank met openingen voor het vullen of lossen aan de bovenzijde met 3 sluitingen, met onder de vloeistofspiegel alleen reinigingsopeningen

D = tank met openingen voor het vullen of lossen aan de bovenzijde met 3 sluitingen; of batterijwagen of MEGC zonder     openingen onder de vloeistofspiegel

4 Veiligheidskleppen/- inrichtingen

N = tank, batterijwagen of MEGC met veiligheidsklep volgens 6.8.3.2.9 of 6.8.3.2.10 die niet hermetisch gesloten is

H = hermetisch gesloten tank, batterijwagen of MEGC (zie 1.2.1)

  • Opmerking 1: De in kolom (13) van tabel A in hoofdstuk 3.2 voor bepaalde gassen aangegeven bijzondere bepaling TU17 betekent dat het gas alleen in een batterijwagen of MEGC mag worden vervoerd, waarvan de elementen uit houders bestaan.
  • Opmerking 2: De in kolom (13) van tabel A in hoofdstuk 3.2 voor bepaalde gassen aangegeven bijzondere bepaling TU40 betekent dat het gas alleen in een batterijwagen of MEGC mag worden vervoerd waarvan de elementen uit naadloze houders bestaan
  • Opmerking 3: De op de tank zelf of op de plaat aangegeven drukken moeten ten minste de waarde "X" of die van de minimale berekeningsdruk hebben.

 

4.3.3.1.2

Tankhiërarchie

Tankcode    Andere tankcode(s) die voor de stoffen onder deze tankcode zijn toegestaan
C*BN C#BN, C#CN, C#DN, C#BH, C#CH, C#DH
C*BH  C#BH, C#CH, C#DH
C*CN C#CN, C#DN, C#CH, C#DH
C*CH C#CH, C#DH
C*DN C#DN, C#DH
C#DH C#DH
P*BN P#BN, P#CN, P#DN, P#BH, P#CH, P#DH
P*BH P#BH, P#CH, P#DH
P*CN P#CN, P#DN, P#CH, P#DH
P*CH P#CH, P#DH
P*DN P#DN, P#DH
P*DH P#DH
R*BN R#BN, R#CN, R#DN
R*CH R#CN, R#DN
R*DN R#DN

Het door # voorgestelde cijfer moet gelijk zijn aan of groter zijn dan het door * voorgestelde cijfer.

Opmerking: In deze hiërarchie wordt geen rekening gehouden met bijzondere bepalingen (zie 4.3.5 en 6.8.4) voor elke positie.

 

4.3.3.2

Voorwaarden voor het vullen en beproevingsdrukken

4.3.3.2.1

Voor tanks, bestemd voor het vervoer van samengeperste gassen, moet de beproevingsdruk ten minste het 1,5-voudige van de in 1.2.1 voor drukhouders gedefinieerde bedrijfsdruk bedragen.

 

4.3.3.2.2

De beproevingsdruk voor tanks, bestemd voor het vervoer van:

  • onder hoge druk vloeibaar gemaakte gassen; en
  • opgeloste gassen

moet zodanig zijn dat, indien het reservoir tot de hoogst toelaatbare vullingsgraad gevuld is, de druk van de stof bij 55 oC, voor tanks met warmte-isolerende bescherming, of bij 65 oC, voor tanks zonder warmte-isolerende bescherming, de beproevingsdruk niet overschrijdt.

 

4.3.3.2.3

Voor tanks, bestemd voor het vervoer van onder lage druk vloeibaar gemaakte gassen, is de voorgeschreven beproevingsdruk:

  1. indien de tank is voorzien van een warmte-isolerende bescherming, ten minste gelijk aan de dampdruk van de vloeistof bij 60 oC, verminderd met 0,1 MPa (1 bar), maar ten minste 1 MPa (10 bar);
  2. Indien de tank niet is voorzien van een warmte-isolerende bescherming, ten minste gelijk aan de dampdruk van de vloeistof bij 65 oC, verminderd met 0,1 MPa (1 bar), maar ten minste 1 MPa (10 bar).

De hoogst toelaatbare massa van de vulling per liter inhoud wordt als volgt berekend:
Hoogst toelaatbare massa van de vulling per liter inhoud = 0,95 x dichtheid van de vloeistoffase bij 50 oC (in kg/l)

Bovendien mag de dampfase beneden 60 oC niet verdwijnen.
Indien de diameter van de tanks niet meer dan 1,5 meter bedraagt, worden voor de beproevingsdruk en de maximale vullingsgraad de waarden volgens verpakkingsinstructie P200 in 4.1.4.1 toegepast.

 

4.3.3.2.4

Voor tanks, bestemd voor het vervoer van sterk gekoelde, vloeibaar gemaakte, gassen moet de beproevingsdruk ten minste 1,3 x de op de tank aangegeven hoogste bedrijfsdruk zijn, maar ten minste 300 kPa (3 bar) (overdruk); voor tanks met een vacuümisolatie moet de beproevingsdruk gelijk zijn aan ten minste 1,3 x de met 100 kPa (1 bar) verhoogde waarde van de hoogst bedrijfsdruk.

 

4.3.3.2.5

Tabel van de gassen en gasmengsels, die in vaste tanks (tankwagens), batterijwagens, afneembare tanks, tankcontainers en MEGC's mogen worden vervoerd,.
Voor gassen en gasmengsels, die onder een n.e.g.-positie zijn ingedeeld, moeten de waarden voor de beproevingsdruk en de hoogst toelaatbare massa van de vulling per liter inhoud worden voorgeschreven door de deskundige, erkend door de bevoegde autoriteit.

Indien tanks, bestemd voor het vervoer van samengeperste of onder hoge druk vloeibaar gemaakte gassen onderworpen zijn aan een beproevingsdruk lager dan die, welke in de tabel staat aangegeven, en de tanks zijn voorzien van een warmte-isolerende bescherming, kan de door de bevoegde autoriteit erkende deskundige een lagere hoogst toelaatbare massa voorschrijven, onder voorwaarde dat de druk van de stof in de tank bij 55 oC de op de tank ingeslagen beproevingsdruk niet overschrijdt.

 

UN-NR     
BENAMING CLASSIFICATIE  CODE MINIMALE  BEPROEVINGSDRUK VOOR TANKS HOOGST TOELAATBARE MASSA  VAN DE VULLING PER LITER INHOUD
Met warmte isolerende bescherming Zonder warmte
isolerende bescherming
MPa bar MPa bar kg
1001 Acetyleen (ethyn), opgelost 4F Alleen in batterijwag ens en MEGC’s  samengesteld uit houders
1002 Lucht, samengep erst 1A Zie 4.3.3.2.1
1003 Lucht, sterk gekoeld, vloeibaar 3O Zie 4.3.3.2.1
1005 Ammoniak, watervrij 2TC 2,6 26 2,9 29 0,53
1006 Argon, samengeperst 1A Zie 4.3.3.2.1
1008 Boortrifluoride 2TC 22,5
30
225
300
22,5
30
225
300
0,715
0.86
1009 Broomtrifluormethaan (Koelgas R 13B1) 2A 12 120 4,2
12
25
42
120
250
1,50
1,13
1,44
1,60
1010 Butadien en, gestabiliseerd
(1,2-butadieen) of
2F 1 10 1 10 0,59
1010 Butadien en, gestabiliseerd
(1,3-butadieen) of
2F 1 10 1 10 0.55
1010 Mengsel van butadien en en
koolwaterstof, gestabiliseerd
2F 1 10 1 10 0,50
1011 Butaan 2F 1 10 1 10 0,51
1012 BUTEEN  (1-Buteen)  of 2F 1 10 1 10 0,53
1012 BUTEEN  (trans-2-Buteen) of 2F 1 10 1 10 0.54
1012 BUTEEN  (cis-2-Buteen) of 2F 1 10 1 10 0,55
1012 BUTEEN  (Mengsel van buten en) 2F 1 10 1 10 0,50
1013 Kooldioxide 2A 19
22,5
190
225
19
25
190
250
0,73
0,78
0,66
0,75
1016 Koolmonoxide, samengeperst 1TF Zie 4.3.3.2.1
1017 Chloor 2TOC 1,7 17 1,9 19 1,25
1018 Chloordifluormethaan (Koelgas R 22) 2A 2,4 24 2,6 26 1,03
1020 Chloorpentafluorethaan
(Koelgas R 115)
2A 2 20 2,3 23 1,08
1021 1-Chloor-1,2,2,2-tetrafluorethaan
(Koelgas R 124)
2A 1 10 1,1 11 1,2
1022 Chloortrifluormethaan (Koelgas R 13) 2A 12
22,5
120
225
10
12
19
25
100
120
190
250
0,96
1,12
0.83
0,90
1,04
1,10
1023 Stadsgas, samengep erst 1TF Zie 4.3.3.2.1
1026 Dicyaan 2TF 10 100 10 100 0,70
1027 Cycloprop aan 2F 1,6 16 1,8 18 0,53
1028 Dichloordifluormethaan
(Koelgas R 12)
2A 1,5 15 1,6 16 1,15
1029 Dichloorfluormethaan (Koelgas R 21) 2A 1 10 1 10 1,23
1030 1,1-Difluorethaan
(Koelgas R 152a)
2F 1,4 14 1,6 16 0,79
1032 Dimethylamine, watervrij 2F 1 10 1 10 0,59
1033 Dimethylether 2F 1,4 14 1,6 16 0,58
1035 Ethaan 2F 12 120 9,5
12
30
95
120
300
0,32
0,25
0,29
0,39
1036 Ethylamine 2F 1 10 1 10 0,61
1037 Ethylchloride 2F 1 10 1 10 0,8
1038 Ethyleen (etheen), sterk gekoeld,
vloeibaar
3F Zie 4.3.3.2.4
1039 Ethylmethylether 2F 1 10 1 10 0,64
1040 Ethyleenoxide met stikstof tot een totale druk van 1 MPa  (10 bar) bij
50 oC
2TF 1,5 15 1,5 15 0,78
1041 Mengsel van ethyleenoxide en kooldioxide met meer dan 9% maar ten hoogste 87%
ethyleenoxide
2F 2,4 24 2,6 26 0,73
1046 Helium, samengep erst 1A Zie 4.3.3.2.1
1048 Broomwaterstof, watervrij 2TC 5 50 5,5 55 1,54
1049 Waterstof, samengep erst 1F
1050 Chloorwaterstof, watervrij 2TC 12 120 10
12
15
20
100
120
150
200
0,69
0,30
0,56
0,67
0,74
1053 Waterstofsulfide 2TF 4,5 45 5 50 0,67
1055 Isobuteen 2F 1 10 1 10 0,52
1056 Krypton, samengeperst 1A Zie 4.3.3.2.1
1058 Vloeibaar gemaakte gassen, niet brandbaar, onder een atmosfeer
van stikstof, kooldioxide of lucht
2A 1,5 keer de vuldruk
Zie 4.3.3.2.2  of 4.3.3.2.3
1060 Mengsel van methylacetyleen en propadieen,gestabiliseerd: 2F Zie 4.3.3.2.2  of 4.3.3.2.3
Mengsel P1 2,5 25 2,8 28 0,49
Mengsel P2 2,2 22 2,3 23 0,47
Propadieen met 1% t/m 4%
methylacetyleen
2,2 22 2,2 22 0,50
1061 Methylamine, watervrij 2F 1 10 1,1 11 0,58
1062 Methylbromide, met ten hoogste
2% chloorpikrine
2T 1 10 1 10 1,51
1063 Methylchloride
(Koelgas R 40)
2F 1,3 13 1,5 15 0,81
1064 Methylmercaptaan 2TF 1 10 1 10 0,78
1065 Neon, samengep erst 1A Zie 4.3.3.2.1
1066 Stikstof, samengep erst 1A Zie 4.3.3.2.1
1067 Distikstoftetroxide (stikstofdioxide) 2 TOC Alleen in batterijwag ens en MEGC’s  samengesteld uit houders
1070 Distikstofoxide (lachgas) 2 O 22,5 225 18
22,5
25
180
225
250
0,78
0,68
0,74
0,75
1071 Petroleumgas, samengep erst 1TF Zie 4.3.3.2.1
1072 Zuurstof, samengep erst 1O Zie 4.3.3.2.1
1073 Zuurstof, sterk gekoeld, vloeibaar 3O Zie 4.3.3.2.4
1075 Petroleumgassen, vloeibaar gemaakt 2F Zie 4.3.3.2.2  of 4.3.3.2.3
1076 Fosgeen 2TC Alleen in batterijwag ens en MEGC’s  samengesteld uit houders
1077 Propeen 2F 2,5 25 2,7 27 0,43
1078 Koelgassen n.e.g. zoals: 2A
Mengsel F1 1 10 1,1 11 1,23
Mengsel F2 1,5 15 1,6 16 1,15
Mengsel F3 2,4 24 2,7 27 1,03
Andere mengsels Zie 4.3.3.2.2  of 4.3.3.2.3
1079 Zwaveldioxide 2TC 1 10 1,2 12 1,23
1080 Zwavelhexafluoride 2A 12 120 7
14
16
70
140
160
1,34
1,04
1,33
1,37
1081 Tetrafluorethyleen, gestabiliseerd 2F Alleen in batterijwag ens en MEGC’s  samengesteld uit naadloze houders
1082 Chloortrifluorethyleen, gestabiliseerd
(Koelgas R1113)
2TF 1,5 15 1,7 17 1,13
1083 Trimethylamine, watervrij 2F 1 10 1 10 0,56
1085 Vinylbromide, gestabiliseerd 2F 1 10 1 10 1,37
1086 Vinylchloride, gestabiliseerd 2F 1 10 1,1 11 0,81
1087 Vinylmethylether, gestabiliseerd 2F 1 10 1 10 0,67
1581 Mengsel van chloorpikrine en methylbromide, met meer dan 2% chloorpikrine 2T 1 10 1 10 1,51
1582 Mengsel van chloorpikrine en
methylchloride
2T 1,3 13 1,5 15 0,81
1612 Mengsel van hexaethyltetrafosfaat en samengep erst gas 1T Zie 4.3.3.2.1
1749 Chloortrifluoride 2TOC 3 30 3 30 1,40
1858 Hexafluorpropeen (Koelgas R 1216) 2A 1,7 17 1,9 19 1,11
1859 Siliciumtetrafluoride 2TC 20
30
200
300
20
30
200
300
0,74
1,10
1860 Vinylfluoride, gestabiliseerd 2F 12
22,5
120
225
25 250 0,58
0,65
0,64
1912 Mengsel van methylchloride en dichloormethaan 2F 1,3 13 1,5 15 0,81
1913 Neon, sterk gekoeld, vloeibaar 3A Zie 4.3.3.2.4
1951 Argon, sterk gekoeld, vloeibaar 3A Zie 4.3.3.2.4
1952 Mengsel van ethyleenoxide en kooldioxide met ten hoogste 9% ethyleenoxide 2A 19
25
190
250
19
25
190
250
0,66
0,75
1953 Samengeperst gas, giftig,
brandbaar, n.e.g. a
1TF Zie 4.3.3.2.1  of 4.3.3.2.2
1954 Samengep erst gas, brandbaar, n.e.g. 1F Zie 4.3.3.2.1  of 4.3.3.2.2
1955 Samengeperst gas, giftig, n.e.g. a 1T Zie 4.3.3.2.1  of 4.3.3.2.2
1956 Samengep erst gas, n.e.g. 1A Zie 4.3.3.2.1  of 4.3.3.2.2
1957 Deuterium, samengep erst 1F Zie 4.3.3.2.1
1958 1,2-Dichloor-
1,1,2,2-tetrafluorethaan (Koelgas R 114)
2A 1 10 1 10 1,3
1959 1,1-Difluorethyleen (Koelgas R 1132a) 2F 12
22,5
120
225
25 250 0,66
0,78
0,77
1961 Ethaan, sterk gekoeld, vloeibaar 3F Zie 4.3.3.2.4
1962 Ethyleen (etheen) 2F 12
22,5
120
225
22,5
30
225
300
0,25
0.36
0.34
0,37
1963 Helium, sterk gekoeld, vloeibaar 3A Zie 4.3.3.2.4
1964 Mengsel van koolwaterstofgassen,
samengep erst, n.e.g.
1F Zie 4.3.3.2.1  of 4.3.3.2.2
1965 Mengsel van koolwaterstofgassen, vloeibaar gemaakt, n.e.g. 2F
Mengsel A 1 10 1 10 0,50
Mengsel A 01 1,2 12 1,4 14 0,49
Mengsel A 02 1,2 12 1,4 14 0,48
Mengsel A 0 1,2 12 1,4 14 0,47
Mengsel A 1 1,6 16 1,8 18 0.46
Mengsel B 1 2 20 2,3 23 0,45
Mengsel B 2 2 20 2,3 23 0,44
Mengsel B 2 20 2,3 23 0,43
Mengsel C 2,5 25 2,7 27 0,42
Andere mengsels Zie 4.3.3.2.2  of 4.3.3.2.3
1966 Waterstof, sterk gekoeld, vloeibaar 3F Zie 4.3.3.2.4
1967 Insecticide, gas, giftig, n.e.g. 2T Zie 4.3.3.2.2  of 4.3.3.2.3
1968 Insecticide, gas, n.e.g. 2A Zie 4.3.3.2.2  of 4.3.3.2.3
1969 Isobutaan 2F 1 10 1 10 0,49
1970 Krypton, sterk gekoeld, vloeibaar 3A Zie 4.3.3.2.4
1971 Methaan, samengep erst, of
aardgas, samengeperst, met hoog methaangeh alte
1F Zie 4.3.3.2.1
1972 Methaan, sterk gekoeld, vloeibaar of aardgas, sterk gekoeld,
vloeibaar met hoog
methaangeh alte
3F Zie 4.3.3.2.4
1973 Mengsel van chloordifluormethaan en chloorpentafluorethaan met vast kookpunt, dat ca. 49%
chloordifluor-methaan bevat
(Koelgas R 502)
2A 2,5 25 2,8 28 1,05
1974 Broomchloordifluormethaan
(Koelgas R 12B1)
2A 1 10 1 10 1,61
1976 Octafluorcyclobutaan (Koelgas RC 318) 2A 1 10 1 10 1,34
1977 Stikstof, sterk gekoeld, vloeibaar 3A Zie 4.3.3.2.4
1978 Propaan 2F 2,1 21 2,3 23 0,42
1982 Tetrafluormethaan
(Koelgas R 14)
2A 20
30
200
300
20
30
200
300
0,62
0,94
1983 1-Chloor-2,2,2-trifluorethaan (Koelgas R 133a) 2A 1 10 1 10 1,18
1984 Trifluormethaan (Koelgas R 23) 2A 19
25
190
250
19
25
190
250
0,92
0,99
0,87
0,95
2034 Mengsel van waterstof en methaan, samengep erst 1F Zie 4.3.3.2.1
2035 1,1,1-Trifluorethaan
(Koelgas R 143a)
2F 2,8 28 3,2 32 0,79
2036 Xenon 2A 12 120 13 130 1,30
1,24
2044 2,2-Dimethylpropaan 2F 1 10 1 10 0,53
2073 Ammoniak, oplossing in water, met een dichtheid bij 15 oC lag er dan 0,880 kg/l, 4A
met meer dan 35% en ten hoogste
40% ammoniak
1 10 1 10 0,80
met meer dan 40% en ten hoogste 50% ammoniak 1,2 12 1,2 12 0,77
2187 Kooldioxide, sterk gekoeld,
vloeibaar
3A Zie 4.3.3.2.4
2189 Dichloorsilaan 2TFC 1 10 1 10 0,90
2191 Sulfurylfluoride 2T 5 50 5 50 1,1
2193 Hexafluorethaan (koelgas R 116) 2A 16
20
160
200
20 200 1,28
1,34
1,10
2197 Joodwaterstof, watervrij 2TC 1,9 19 2,1 21 2,25
2200 Propadieen, gestabiliseerd 2F 1,8 18 2,0 20 0,50
2201 Distikstofoxide, sterk gekoeld,
vloeibaar
3O Zie 4.3.3.2.4
2203 Siliciumwaterstof (silaan) b 2F 22,5
25
225
250
22,5
25
225
250
0,32
0,36
2204 Carbonylsulfide 2TF 2,7 27 3,0 30 0,84
2417 Carbonylfluoride 2TC 20
30
200
300
20
30
200
300
0,47
0,70
2419 Broomtrifluorethyleen 2F 1 10 1 10 1,19
2420 Hexafluoraceton 2TC 1,6 16 1,8 18 1,08
2422 Octafluor-2-buteen (Koelgas R 1318) 2A 1 10 1 10 1,34
2424 Octafluorpropaan
(Koelgas R 218)
2A 2,1 21 2,3 23 1,07
2451 Stikstoftrifluoride 2O 20 200 20 200 0,50
30 300 30 300 0,75
2452 Ethylacetyleen, gestabiliseerd 2F 1 10 1 10 0,57
2453 Ethylfluoride (Koelgas R 161) 2F 2,1 21 2,5 25 0,57
2454 Methylfluoride
(Koelgas R 41)
2F 30 300 30 300 0,36
2517 1-Chloor-1,1-difluorethaan (Koelgas R 142b) 2F 1 10 1 10 0,99
2591 Xenon, sterk gekoeld, vloeibaar 3A Zie 4.3.3.2.4
2599 Azeotropisch mengsel van 2A 3,1 31 3,1 31 0,11
chloortrifluormethaan en 4,2 42 0,21
trifluormethaan, dat ca. 60% 10 100 0,76
chloortrifluormethaan bevat 4,2 42 0,20
(Koelgas R 503) 10 100 0,66
2601 Cyclobutaan 2F 1 10 1 10 0,63
2602 Azeotropisch mengsel van dichloordifluormethaan en
1,1-difluorethaan, dat ca. 74%
dichloordifluormethaan bevat (Koelgas R 500)
2A 1,8 18 2 20 1,01
2901 Broomchloride 2TOC 1 10 1 10 1,50
3057 Trifluoracetylchloride 2TC 1,3 13 1,5 15 1,17
3070 Mengsel van ethyleenoxide en dichloordifluormethaan met ten hoogste 12,5% ethyleenoxide 2A 1,5 15 1,6 16 1,09
3083 Perchlorylfluoride 2TO 2,7 27 3,0 30 1,21
3136 Trifluormethaan, sterk gekoeld,
vloeibaar
3A Zie 4.3.3.2.4
3138 Mengsel van ethyleen, acetyleen en propyleen, sterk gekoeld,
vloeibaar, met ten minste 71,5% ethyleen, ten hoogste 22,5% acetyleen en ten hoogste 6%
propyleen
3F Zie 4.3.3.2.4
3153 Perfluor(methylvinyl)ether 2F 1,4 14 1,5 15 1,14
3154 Perfluor(ethylvinyl)ether 2F 1 10 1 10 0,98
3156 Samengep erst gas, oxideren d, n.e.g. 1O Zie 4.3.3.2.1  of 4.3.3.2.2
3157 Vloeibaar gemaakt gas,
oxiderend, n.e.g.
2O Zie 4.3.3.2.2  of 4.3.3.2.3
3158 Sterk gekoeld, vloeibaar gas,
n.e.g.
2A Zie 4.3.3.2.4
3159 1,1,1,2-Tetrafluorethaan
(Koelgas R 134a)
2A 1,6 16 1,8 18 1,04
3160 Vloeibaar gemaakt gas, giftig, brandbaar, n.e.g. a 2TF Zie 4.3.3.2.2.  of 4.3.3.2.3
3161 Vloeibaar gemaakt gas,
brandbaar, n.e.g.
2F Zie 4.3.3.2.2.  of 4.3.3.2.3
3162 Vloeibaar gemaakt gas, giftig, n.e.g.a 2T Zie 4.3.3.2.2.  of 4.3.3.2.3
3163 Vloeibaar gemaakt gas, n.e.g. 2A Zie 4.3.3.2.2.  of 4.3.3.2.3
3220 Pentafluorethaan
(Koelgas R 125)
2A 4,1 41 4,9 49 0,95
3252 Difluormethaan
(Koelgas R 32)
2F 3,9 39 4,3 43 0,78
3296 Heptafluorpropaan
(Koelgas R 227)
2A 1,4 14 1,6 16 1,20
3297 Mengsel van ethyleenoxide en chloortetrafluorethaan met ten hoogste 8,8% ethyleenoxide 2A 1 10 1 10 1,16
3298 Mengsel van ethyleenoxide en
pentafluorethaan met ten hoogste 7,9% ethyleenoxide
2A 2,4 24 2,6 26 1,02
3299 Mengsel van ethyleenoxide en tetrafluorethaan met ten hoogste
5,6% ethyleenoxide
2A 1,5 15 1,7 17 1,03
3300 Mengsel van ethyleenoxide en kooldioxide met meer dan 87% ethyleenoxide 2TF 2,8 28 2,8 28 0,73
3303 Samengeperst gas, giftig,
oxiderend, n.e.g.a
1TO Zie 4.3.3.2.1  of 4.3.3.2.2
3304 Samengeperst gas, giftig, bijtend, n.e.g.a 1TC Zie 4.3.3.2.1  of 4.3.3.2.2
3305 Samengeperst gas, giftig,
brandbaar, bijtend, n.e.g.a
1TFC Zie 4.3.3.2.1  of 4.3.3.2.2
3306 Samengeperst gas, giftig,
oxiderend, bijtend, n.e.g.a
1TOC Zie 4.3.3.2.1  of 4.3.3.2.2
3307 Vloeibaar gemaakt gas, giftig,
oxideren d, n.e.ga
2TO Zie 4.3.3.2.2  of 4.3.3.2.3
3308 Vloeibaar gemaakt gas, giftig, bijtend, n.e.g. a 2TC Zie 4.3.3.2.2  of 4.3.3.2.3
3309 Vloeibaar gemaakt gas, giftig,
brandbaar, bijtend, n.e.g. a
2TFC Zie 4.3.3.2.2  of 4.3.3.2.3
3310 Vloeibaar gemaakt gas, giftig, oxiderend, bijtend, n.e.g.a 2TOC Zie 4.3.3.2.2  of 4.3.3.2.3
3311 Sterk gekoeld, vloeibaar gemaakt
gas, oxiderend, n.e.g.
3O Zie 4.3.3.2.4
3312 Sterk gekoeld, vloeibaar gemaakt gas, brandbaar, n.e.g. 3F Zie 4.3.3.2.4
3318 Ammoniak, oplossing in water, met een relatieve dichtheid bij 15 oC lag er dan 0,880, met meer dan
50% ammoniak
4TC Zie 4.3.3.2.2
3337 Koelgas R 404A 2A 2,8 28 3,2 32 0,84
3338 Koelgas R 407A 2A 2,8 28 3,2 32 0,95
3339 Koelgas R 407B 2A 3,0 30 3,3 33 0,95
3340 Koelgas R 407 C 2A 2,7 27 3,0 30 0,95
3354 Insecticide, gas, brandbaa, n.e.g. 2F Zie 4.3.3.2.2  of 4.3.3.2.3
3355 Insecticide, gas, giftig, brandbaar n.e.g 2TF Zie 4.3.3.2.2  of 4.3.3.2.3

4.3.3.3

Bedrijf

4.3.3.3.1

Indien tanks, batterijwagens of MEGC's voor verschillende gassen zijn toegelaten, moet een wijziging van het gebruik daarvan de handelingen lossen, reinigen, en ontgassen omvatten in de mate, vereist voor het veilig functioneren.

 

4.3.3.3.2

Geschrapt

 

4.3.3.3.3

De elementen van een batterijwagen of MEGC mogen slechts één en hetzelfde gas bevatten.

4.3.3.3.4

Indien de uitwendige overdruk de weerstand van de tank tegen uitwendige druk zou kunnen overstijgen (bijv. als gevolg van lage omgevingstemperaturen), moeten passende maatregelen worden genomen om tanks die onder lage druk vloeibaar gemaakte gassen vervoeren tegen het risico van vervorming te beschermen, bijv. door ze te vullen met stikstof of een ander inert gas om voldoende inwendige druk te in stand te houden.

 

4.3.3.4

Gereserveerd

 

4.3.3.5

 

 

De werkelijke verblijftijd moet op basis van onderstaande factoren worden bepaald voor elk traject van een tankcontainer waarin een sterk gekoeld, vloeibaar gemaakt gas wordt vervoerd:

a.  de referentie-verblijftijd voor het te vervoeren sterk gekoelde, vloeibaar gemaakte gas (zie 6.8.3.4.10) zoals aangegeven op de plaat die wordt genoemd in 6.8.3.5.4;
b.  de werkelijke vuldichtheid;
c.  de werkelijke vuldruk;
d.  de laagste ingestelde druk van de drukbegrenzende voorziening(en);
e.  de afbraak van de isolatie *4.

Opmerking: ISO 21014:2006 ‘Cryogene vaten – Cryogene isolatieprestatie’ voorziet in methoden voor het bepalen van de isolatieprestatie van cryogene vaten alsmede in een methode voor het berekenen van de verblijftijd.

De datum waarop de werkelijke verblijftijd eindigt, moet worden opgenomen in het vervoersdocument (zie 5.4.1.2.2. d)).

Van de berekening van de werkelijke verblijftijd mag worden afgezien, wanneer het gehele traject uitsluitend over de weg plaatsvindt, zonder overslag op een ander voertuig en zonder tijdelijke tussenopslag. Wanneer wordt afgezien van de berekening van de werkelijke verblijftijd, zijn de voorschriften van 4.3.3.6, onder e), f) en g) niet van toepassing.

Aan de voorschriften van 4.3.3.5 hoeft niet te worden voldaan voor lege, ongereinigde tankcontainers.

*4 Een leidraad wordt geboden in het document “Methods to prevent the premature activation of relief devices on tanks”, beschikbaar op www.eiga.eu, van de European Industrial Gases Association (EIGA).

 

 

 

4.3.3.6

 

 

Tankcontainers mogen niet ten vervoer worden aangeboden:

  1. bij een vulling waardoor schommelen van de stof in de transporttank waarschijnlijk een ontoelaatbare hydraulische kracht veroorzaakt;
  2. wanneer zij lekken;
  3. wanneer zij in zulk een mate beschadigd zijn dat de goede staat van de transporttank of zijn hef- of bevestigingsvoorzieningen kunnen zijn aangetast;
  4. tenzij de bedrijfsuitrusting is gecontroleerd en in goede bedrijfsklare staat is bevonden;

en voor sterk gekoelde, vloeibaar gemaakte gassen:

  1. tenzij de werkelijke verblijftijd voor het te vervoeren gas is vastgesteld;
  2. tenzij de duur van het vervoer, rekening houdende met eventuele vertragingen die zouden kunnen optreden, niet meer bedraagt dan de werkelijke verblijftijd;
  3. tenzij de druk constant is en is verlaagd tot een dusdanig peil dat de werkelijke verblijftijd kan worden bereikt;
  4. In lege, ongereinigde toestand, tenzij de druk is verlaagd tot een zodanig niveau dat de drukontlastingsinrichtingen niet in werking treden tijdens het vervoer*.

* Richtlijnen zijn te vinden in het document van de European Industrial Gases Association (EIGA) "Methoden om de voortijdige activering van overdrukbeveiligingen op tanks te voorkomen", beschikbaar op www.eiga.eu.

 

 

 

4.3.4

Bijzondere bepalingen, van toepassing op de klassen 1 en 3 t/m 9

4.3.4.1

Codering, gerationaliseerde benadering en tankhiërarchie

4.3.4.1.1

Codering van tanks
De vier delen van de in kolom (12) van tabel A in hoofdstuk 3.2 aangegeven codes (tankcodes) hebben de volgende betekenis:

DEEL OMSCHRIJVING TANKCODE
1 Type tank

L = tank voor stoffen in vloeibare toestand (vloeistoffen of vaste stoffen die in gesmolten toestand ten vervoer worden aangeboden)

S = tank voor stoffen in vaste toestand (in poedervorm of korrelig)

2 Berekeningsdruk G = minimale berekeningsdruk volgens de algemene voorschriften  van 6.8.2.1.14; of 1,5; 2,65; 4; 10; 15 of 21 =  minimale berekeningsdruk in bar (zie 6.8.2.1.14)
3 Openingen (zie 6.8.2.2.2)

A = tank met openingen voor het vullen of lossen aan de onderzijde met 2 sluitingen

B = tank met openingen voor het vullen of lossen aan de onderzijde met 3 sluitingen

C = tank met openingen voor het vullen of lossen aan de bovenzijde, met  onder de vloeistofspiegel alleen reinigingsopeningen

D = tank met openingen voor het vullen of lossen aan de bovenzijde, zonder openingen onder de vloeistofspiegel

4 Veiligheidskleppen/
-inrichtingen

V = tank met een be- en ontluchtingsinrichting volgens 6.8.2.2.6, maar zonder beschermende voorziening tegen vlaminslag; of niet explosieschokdrukbestendige tank

F = tank met een be- en ontluchtingsinrichting volgens 6.8.2.2.6,
voorzien  van een beschermende voorziening tegen
vlaminslag volgens 6.8.2.2.6; of explosieschokdrukbestendige tank

N = tank zonder een be- en ontluchtingsinrichting volgens
 6.8.2.2.6 en niet hermetisch gesloten

H =  hermetisch gesloten tank (zie 1.2.1)

4.3.4.1.2

Gerationaliseerde benadering voor toekenning van ADR-tankcodes aan groepen van stoffen en tankhiërarchie.
Opmerking: Bepaalde stoffen en groepen van stoffen zijn niet in de gerationaliseerde benadering opgenomen, zie 4.3.4.1.3.

GERATIONALISEERDE BENADERING
Tankcode Groep van toegestane stoffen
  Klasse Classificatiecode Verpakkingsgroep
VLOEISTOFFEN:
LGAV 3 F2 III
9 M9 III
LGBV 4.1 F2 II
III
5.1 O1 III
5.1 OT1 III
9 M6 III
M11 III
en de groepen van de voor tankcode LGAV toegestane stoffen
LGBF 3 F1 II, dampdruk bij 50 oC ≤ 1,1 bar
F1 III
D II, dampdruk bij 50 oC ≤, 1,1 bar
D III
en de groepen van de voor de tankcodes LGAV en LGBV toegestane stoffen
L1,5BN 3 F1 II, dampdruk bij 50 °C > 1,1 bar
D II, dampdruk bij 50 °C > 1,1 bar
en de groepen van de voor de tankcodes LGAV, LGBV en LGBF toegestane stoffen
L4BN 3 F1 I
FC III
D I
5.1 O1 II
OT1 II
8 C1 II, III
C3 II, III
C4 II, III
C5 II, III
C7 II, III
C8 II, III
C9 II, III
C10 II, III
CF1 II
CF2 II
CS1 II
CW1 II
CW2 II
CO1 II
CO2 II
CT1a II, III
CT2 II, III
  CFT II
9 M11 III
en de groepen van de voor de tankcodes LGAV, LGBV, LGBF en L1,5BN toegestane stoffen
L4BH 3 FT1 II, III
FT2 II
FC II
FTC II
6.1 T1 II, III
T2 II, III
T3 II, III
T4 II, III
T5 II, III
T6 II, III
T7 II, III
TF1 II
TF2 II, III
TF3 II
TS II
TW1 II
TW2 II
TO1 II
TO2 II
TC1 II
  TC2 II
TC3 II
TC4 II
TFC II
6.2 I3 II
I4  
9 M2 II
en de groepen van de voor de tankcodes LGAV, LGBV, LGBF, L1,5BN en L4BN toegestane stoffen
L4DH 4.2 S1 II, III
S3 II, III
ST1 II, III
ST3 II, III
SC1 II, III
SC3 II, III
4.3 W1 II, III
WF1 II, III
WT1 II, III
WC1 II, III
8 CT1b II, III
en de groepen van de voor de tankcodes LGAV, LGBV, LGBF, L1,5BN, L4BN en L4BH toegestane stoffen
L10BH 8 C1 I
C3 I
C4 I
  C5 I
C7 I
C8 I
C9 I
C10 I
CF1 I
CF2 I
CS1 I
CW1 I
CW2 I
CO1 I
CO2 I
CT1c I
CT2 I
COT I
en de groepen van de voor de tankcodes LGAV, LGBV, LGBF, L1,5BN, L4BN en L4BH toegestane stoffen
L10CH 3 FT1 I
FT2 I
FC I
FTC I
6.1d T1 I
T2 I
  T3 I
T4 I
T5 I
T6 I
T7 I
TF1 I
TF2 I
TF3 I
TS I
TW1 I
TO1 I
TC1 I
TC2 I
TC3 I
TC4 I
TFC I
TFW I
en de groepen van de voor de tankcodes LGAV, LGBV, LGBF, L1,5BN, L4BN, L4BH en L10BH toegestane stoffen
L10DH 4.3 W1 I
WF1 I
WT1 I
  WC1 I
WFC I
5.1 OTC I
8 CT1e I
en de groepen van de voor de tankcodes LGAV, LGBV, LGBF, L1,5BN, L4BN, L4BH, L4DH, L10BH en L10CH toegestane stoffen
L15CH 3 FT1 I
6.1f T1 I
T4 I
TF1 I
TW1 I
TO1 I
TC1 I
TC3 I
TFC I
TFW I
en de groepen van de voor de tankcodes LGAV, LGBV, LGBF, L1,5BN, L4BN, L4BN, L4BH, L10BH, en L10CH toegestane stoffen
L21DH 4.2 S1 I
S3 I
SW1 I
ST3 I
en de groepen van de voor de tankcodes LGAV, LGBV, LGBF, L1,5BN, L4BN, L4BH, L4DH, L10BH en L10CH, L10DH en L15CH toegestane stoffen
VASTE STOFFEN:
SGAV 4.1 F1 III
F3 III
4.2 S2 II, III
S4 III
5.1 O2 II, III
8 C2 II, III
C4 III
C6 III
C8 III
C10 II, III
CT2 III
9 M7 III
M11 II, III
SGAN 4.1 F1 II
F3 II
FT1 II, III
FT2 II, III
FC1 II, III
FC2 II, III
4.2 S2 II
S4 II, III
  ST2 II, III
ST4 II, III
SC2 II, III
SC4 II, III
4.3 W2 II, III
WF2 II
WS II, III
WT2 II, III
WC2 II, III
5.1 O2 II, III
OT2 II, III
OC2 II, III
8 C2 II
C4 II
C6 II
8 C8 II
C10 II
CF2 II
CS2 II
CW2 II
CO2 II
CT2 II
9 M3 III
en de groepen van de voor tankcode SGAV toegestane stoffen
SGAH 6.1 T2 II, III
T3 II, III
T5 II, III
T7 II, III
T9 II
TF3 II
TS II
TW2 II
TO2 II
TC2 II
TC4 II
9 M1 II, III
en de groepen van de voor de tankcodes SGAV en SGAN toegestane stoffen
S4AH 6.2 I3 II
9 M2 II
en de groepen van de voor de tankcodes SGAV, SGAN en SGAH toegestane stoffen
S10AN 8 C2 I
C4 I
C6 I
C8 I
C10 I
CF2 I
CS2 I
CW2 I
CO2 I
CT2 I
en de groepen van de voor de tankcodes SGAV en SGAN toegestane stoffen
S10AH 6.1 T2 I
T3 I
T5 I
T7 I
TS I
TW2 I
TO2 I
TC2 I
TC4 I
en de groepen van de voor de tankcodes SGAV, SGAN, SGAH en S10AN toegestane stoffen

a Stoffen met uitzondering van oplossingen van fluorwaterstofzuur en waterstofdifluoride moeten onder deze tankcode worden ingedeeld.
b Oplossingen van fluorwaterstofzuur en waterstofdifluoride moeten onder deze tankcode worden ingedeeld.
c Stoffen die fluorwaterstofzuur bevatten, moeten onder deze tankcode worden ingedeeld, met uitzondering van fluorwaterstofzuur met meer dan 85 % fluorwaterstof.
d Aan stoffen met een LC50 lager dan of gelijk aan 200 ml/m3 en een verzadigde dampconcentratie hoger dan of gelijk aan 500 LC50 moet tankcode L15CH worden toegekend.
e Stoffen die waterstoffluoridezuur bevatten, moeten aan deze tankcode worden toegewezen, met uitzondering van waterstoffluoridezuur met meer dan 85% waterstoffluoride.
f Aan stoffen met een LC50   lager dan of gelijk aan 200 ml/m3 en een verzadigde dampconcentratie hoger dan of gelijk aan 500 LC50   moet deze tankcode L15CH worden toegekend

Tankhiërarchie
Tanks met tankcodes die afwijken van die welke zijn aangegeven in deze tabel of in tabel A van hoofdstuk 3.3, mogen ook gebruikt worden, onder voorwaarde dat elk element (getal of letter) van de delen 1 t/m 4 van deze tankcodes overeenkomt met een veiligheidsniveau dat tenminste gelijkwaardig is aan het overeenkomstige element van de tankcode die in tabel A van hoofdstuk 3.2 aangegeven is, overeenkomstig de hierna volgende opklimmende reeks:

Deel 1: Tanktype
S ─> L

Deel 2: Berekeningsdruk
G ----> 1,5 ----> 2,65 ----> 4 ----> 10 ----> 15 ----> 21 bar

Deel 3: Openingen
A ----> B ----> C ----> D

Deel 4: Veiligheidskleppen / -inrichtingen
V ----> F ----> N ----> H

Bijvoorbeeld:

  • Een tank met de tankcode L10CN is toegelaten voor het vervoer van een stof, waaraan tankcode L4BN is toegekend:
  • Een tank met de tankcode L4BN is toegelaten voor het vervoer van een stof, waaraan tankcode SGAN is toegekend.

Opmerking: In de hiërarchie wordt geen rekening met eventuele bijzondere bepalingen voor elke positie (zie 4.3.5 en 6.8.4).

 

4.3.4.1.3

De volgende stoffen en groepen van stoffen, waarbij in kolom (12) van tabel A in hoofdstuk 3.2 achter de tankcode een (+) weergegeven is, zijn onderworpen aan bijzondere bepalingen.

In dat geval is het afwisselend gebruik van de tanks voor andere stoffen en groepen van stoffen alleen toegestaan indien dit in het certificaat van typegoedkeuring gespecificeerd is.

Volgens de voorschriften na de tabel in 4.3.4.1.2 hoger gewaardeerde tanks mogen gebruikt worden, rekening houdend met de in kolom (13) van tabel A in hoofdstuk 3.2 aangegeven bijzondere bepalingen. De vereisten voor deze tanks volgen uit de onderstaande tankcodes, aangevuld door de desbetreffende bijzondere bepalingen die in hoofdstuk 3.2, tabel A, kolom (13) worden aangegeven.

Klasse  UN           Benaming en omschrijving Tankcode
1 0331 Springstof, type B S2.65AN
4.1 2448 Zwavel, gesmolten LGBV
3531 Polymeriserende stof, vast, gestabiliseerd, n.e.g. SGAN
3533 Polymeriserende stof, vast, met temperatuurbeheersing, n.e.g.
3532 Polymeriserende stof, vloeistof, gestabiliseerd, n.e.g. L4BN
3534 Polymeriserende stof, vloeistof, met temperatuurbeheersing, n.e.g.
4.2 1381
(1,2)
Fosfor, wit of geel, droog, onder water of in oplossing L10DH
2447 Fosfor, wit, gesmolten
4.3 1389 Amalgaam van alkalimetalen, vloeibaar L10BN
1391 Dispersie van aardalkalimetalen of dispersie van alkalimetalen
1392 Amalgaam van aardalkalimetalen, vloeibaar
1415 Lithium
  1420 Metallische legeringen van kalium, vloeibaar  
1421 Legering van alkalimetalen, vloeibaar, n.e.g.
1422 Legeringen van kalium en natrium, vloeibaar
1428 Natrium
2257 Kalium
3401 Amalgaan van alkalimetalen, vast
3402 Amalgaan van aardalkalimetalen, vast
3403 Metallische legeringen van kalium, vast
3404 Legeringen van kalium en natrium, vast
3482 Dispersie van alkalimetalen, brandbaar of dispersie van aardalkalimetalen, brandbaar
1407 Cesium L10CH
1423 Rubidium
1402
(1,2)
Calciumcarbide, verpakkingsgroep I S2.65AN
5.1 1873 Perchloorzuur, met meer dan 50 massa-%, doch ten hoogste 72 massa-% zuur L4DN
2015

Waterstofperoxide, oplossing in water, gestabiliseerd, met meer dan 70% waterstofperoxide L4DV
2014 Waterstofperoxide, oplossing in water met ten minste 20% doch ten hoogste 60% waterstofperoxide L4BV
2015 Waterstofperoxide, oplossing in water, gestabiliseerd, met meer dan 60% waterstofperoxide doch ten hoogste 70% waterstofperoxide
2426 AMMONIUMNITRAAT, VLOEISTOF (warme geconcentreerde oplossing)
3149 Waterstofperoxide en peroxyazijnzuur, mengsel, gestabiliseerd
3375 Ammoniumnitraat, emulsie, suspensie of gel, vloeibaar, tussenproduct voor de bereiding van springstoffen LGAV
3375 Ammoniumnitraat, emulsie, suspensie of gel, vast, tussenproduct voor de bereiding van springstoffen SGAV
5.2 3109 Organisch peroxide, type F, vloeibaar L4BN
3119 Organisch peroxide, type F, vloeibaar, met temperatuurbeheersing
3110 Organisch peroxide, type F, vast S4AN
3120 Organisch peroxide, type F, vast, met temperatuurbeheersing
6.1 1613 Cyaanwaterstof, oplossing in water L15DH
3294 Cyaanwaterstof, oplossing in alcohol
7a   Alle stoffen bijzondere tanks
Minimumeisen voor vloeistoffen L2.65CN
Minimumeisen voor vaste stoffen S2.65AN
8 1052 Fluorwaterstof, watervrij L21DH
1744 Broom of broom, oplossing
1790 Fluorwaterstofzuur, oplossing, met meer dan 85% fluorwaterstof
1791 (1,2) Hypochloriet, oplossing L4BV
1908 (1,2) Chloriet, oplossing

a Niettegenstaande de algemene voorschriften van deze paragraaf mogen tanks die voor radioactieve stof zijn gebruikt, ook voor het vervoer van andere goederen worden gebruikt, onder voorwaarde dat aan de voorschriften van 5.1.3.2 is voldaan.

 

4.3.4.1.4

Tanks, bestemd voor het vervoer van vloeibare afvalstoffen, die voldoen aan de voorschriften van hoofdstuk 6.10 en overeenkomstig 6.10.3.2 van twee sluitingen voorzien zijn, moeten worden toegewezen aan tankcode L4AH. Indien de betreffende tanks uitgerust zijn voor het afwisselend vervoer van vloeibare en vaste stoffen, moeten zij worden toegewezen aan de gecombineerde codes L4AH+S4AH.

 

4.3.4.2

Algemene voorschriften

4.3.4.2.1

Indien warme stoffen zijn geladen, mag de temperatuur van het buitenoppervlak van de tank of van de warmte-isolatie tijdens het vervoer 70 oC niet overschrijden.

 

4.3.4.2.2

De verbindingsleidingen tussen onafhankelijke, maar onderling verbonden tanks van een transporteenheid moeten tijdens het vervoer leeg zijn. Buigzame laad- en losleidingen die niet duurzaam met de tank zijn verbonden, moeten tijdens het vervoer leeg zijn.

 

 

 

4.3.4.2.3

Gereserveerd

4.3.5

Bijzondere bepalingen
Indien zij onder een positie in kolom (13) van tabel A in hoofdstuk 3.2 zijn aangegeven, zijn de volgende bijzondere bepalingen van toepassing:

TU-01

Bijzondere bepaling TU-01

De tanks mogen slechts ten vervoer worden aangeboden nadat de stof volledig is gestold en bedekt met een inert gas. Lege, ongereinigde tanks die deze stoffen hebben bevat, moeten met een inert gas worden gevuld.

TU-02

Bijzondere bepaling TU-02

De stof moet worden bedekt met een inert gas. Lege, ongereinigde tanks die deze stoffen hebben bevat, moeten met een inert gas worden gevuld.

TU-03

Bijzondere bepaling TU-03

Het inwendige van het reservoir en alle delen die in aanraking kunnen komen met de stoffen, moeten schoon worden gehouden.

Voor de pompen, kleppen en andere inrichtingen mogen geen smeermiddelen worden gebruikt, die met de vervoerde stof gevaarlijke verbindingen kunnen vormen.

TU-04

Bijzondere bepaling TU-04

Tijdens het vervoer moet zich boven deze stoffen een laag inert gas bevinden met een overdruk van ten minste 50 kPa (0,5 bar).

Lege ongereinigde tanks die deze stoffen hebben bevat, moeten bij de aanbieding ten vervoer gevuld zijn met een inert gas tot een overdruk van ten minste 50 kPa (0,5 bar). 

TU-05

Bijzondere bepaling TU-05

Gereserveerd

TU-06

Bijzondere bepaling TU-06

Niet voor vervoer in tanks, batterijwagens en MEGC's toegelaten indien de LC50 waarde lager is dan 200 ppm.

TU-07

Bijzondere bepaling TU-07

De materialen die gebruikt worden voor de afdichting van de verbindingen of voor het onderhoud van de afsluitinrichtingen, moeten inert zijn ten opzichte van de inhoud.

TU-08

Bijzondere bepaling TU-08

Voor het vervoer mogen geen tanks van aluminiumlegeringen worden gebruikt, tenzij deze tanks uitsluitend voor dit vervoer worden gebruikt en onder voorbehoud dat het aceetaldehyde zuurvrij is.

TU-09

Bijzondere bepaling TU-09

UN 1203 benzine met een dampdruk bij 50 oC hoger dan 110 kPa (1,1 bar) maar niet hoger dan 150 kPa (1,5 bar) mag ook vervoerd worden in tanks, die berekend zijn volgens 6.8.2.1.14 a) en waarvan de uitrusting voldoet aan 6.8.2.2.6.

 

TU-10

Bijzondere bepaling TU-10

Gereserveerd

 


TU-11

Bijzondere bepaling TU-11

Bij het vullen mag de temperatuur van de geladen stof 60 oC niet overschrijden. Een maximale beladingstemperatuur van 80 oC is toegestaan, onder voorwaarde dat gloeihaarden worden vermeden en dat aan de volgende voorwaarden voldaan wordt.

Na het vullen moeten de tanks onder druk worden gezet (bijvoorbeeld met perslucht) om de dichtheid te controleren. Er moet worden gegarandeerd dat tijdens het vervoer de druk niet wegvalt.

Vóór het lossen moet worden gecontroleerd of de druk in de tanks nog steeds hoger is dan de atmosferische druk. Indien dit niet het geval is, moet vóór het lossen inert gas in de tanks worden ingeleid.

TU-12

Bijzondere bepaling TU-12

Vóór en na het vervoer van deze stoffen moeten de reservoirs en hun uitrusting in geval van afwisselend gebruik zorgvuldig worden gereinigd van ladingresten.

TU-13

Bijzondere bepaling TU-13

Tanks moeten bij het vullen vrij van verontreinigingen zijn. De bedrijfsuitrusting, zoals afsluiters en uitwendige pijpen, moet na het vullen of lossen van de tank worden geledigd.

TU-14

Bijzondere bepaling TU-14

De beschermende kappen van sluitingen moeten tijdens het vervoer vergrendeld zijn.

TU-15

Bijzondere bepaling TU-15

Tanks mogen niet worden gebruikt voor het vervoer van levensmiddelen, genotmiddelen en voer voor dieren.

 

TU-16

4.3.5 - Bijzondere bepaling TU-16

Lege ongereinigde tanks, wanneer zij ten vervoer worden aangeboden, moeten worden gevuld met een beschermingsmiddel aan de hand van onderstaande tabel.

Beschermingsmiddel   Vullingsgraad water Aanvullende voorschriften voor vervoer bij lage omgevingstemperaturen
StikstofA  
Water en stikstofA  
Water ten minste 96% en ten hoogste 98% Aan het water moet voldoende antivriesmiddel zijn toegevoegd om te voorkomen dat het bevriest. Het antivriesmiddel mag geen corrosieve werking bezitten en mag niet met de stof kunnen reageren.
A De tank moet zodanig met stikstof zijn gevuld dat de druk, zelfs na afkoeling, nooit lager wordt dan de atmosferische druk. De tank moet zodanig gesloten zijn dat geen gas kan ontsnappen.
TU-17

Bijzondere bepaling TU-17

Alleen te vervoeren in batterijwagens of MEGC's, waarvan de elementen uit houders bestaan.

TU-18

Bijzondere bepaling TU-18

De vullingsgraad moet beneden het niveau blijven waarbij, - indien de inhoud op de temperatuur gebracht wordt, waarbij de dampdruk gelijk is aan de openingsdruk van de veiligheidskleppen , het volume van de vloeistoffase de waarde van 95% van de inhoud van de tank bij deze temperatuur zou bereiken. De bepaling in 4.3.2.3.4 is niet van toepassing

TU-19

Bijzondere bepaling TU-19

Tanks mogen bij de vultemperatuur en bij de vuldruk tot 98% van de inhoud worden gevuld. De bepaling in 4.3.2.3.4 is niet van toepassing.

TU-20

Bijzondere bepaling TU-20

Gereserveerd


TU-21

4.3.5 - Bijzondere bepaling TU-21

De stof moet worden beschermd met een beschermingsmiddel aan de hand van onderstaande tabel.

Beschermings- middel Een laag water in de tank

Vullingsgraad stof (incl. evt. water) bij temperatuur van
60 °C is ten hoogste

 

Aanvullende voorschriften voor vervoer bij lage omgevingstemperaturen
StikstofA 96%
Water en stikstofA 98% Aan het water moet voldoende antivriesmiddel zijn toegevoegd om te voorkomen dat het bevriest. Het antivriesmiddel mag geen corrosieve werking bezitten en
mag niet met de stof kunnen reageren.
Water ten minste 12 cm 98%
 A De vrij blijvende ruimte van de tank moet zodanig met stikstof zijn gevuld dat de druk, zelfs na afkoeling, nooit lager wordt dan de atmosferische druk. De tank moet zodanig gesloten zijn dat geen gas kan ontsnappen.
TU-22

Bijzondere bepaling TU-22

De vullingsgraad van tanks mag niet meer bedragen dan 90%; voor vloeistoffen moet bij een gemiddelde temperatuur van de vloeistof van 50o C nog een ledige ruimte van 5% van de vulling aanwezig zijn.

TU-23

Bijzondere bepaling TU-23

De vulling mag per liter inhoud niet meer bedragen dan 0,93 kg, indien op grond van massa wordt gevuld. Indien op volume wordt gevuld, mag de vullingsgraad 85% niet overschrijden.

TU-24

Bijzondere bepaling TU-24

De vulling mag per liter inhoud niet meer bedragen dan 0,95 kg, indien op grond van massa wordt gevuld. Indien op volume wordt gevuld, mag de vullingsgraad 85% niet overschrijden.

TU-25

Bijzondere bepaling TU-25

De vulling mag per liter inhoud niet meer bedragen dan 1,14 kg, indien op grond van massa wordt gevuld. Indien op volume wordt gevuld, mag de vullingsgraad 85% niet over- schrijden.

 

TU-26

Bijzondere bepaling TU-26

De vullingsgraad mag 85% niet overschrijden.

TU-27

Bijzondere bepaling TU-27

Tanks mogen tot ten hoogste 98% van hun inhoud zijn gevuld. 

TU-28

Bijzondere bepaling TU-28

Tanks mogen, uitgaande van een referentietemperatuur van 15o C, slechts tot 95% van hun inhoud worden gevuld.

TU-29

Bijzondere bepaling TU-29

Tanks mogen slechts tot 97% van hun inhoud worden gevuld en de hoogste temperatuur na het vullen mag niet meer dan 140o C bedragen.

TU-30

Bijzondere bepaling TU-30

Tanks moeten worden gevuld overeenkomstig de voorwaarden, vastgelegd in het rapport van onderzoek voor de typegoedkeuring van de tank, echter tot ten hoogste 90% van de inhoud.


TU-31

Bijzondere bepaling TU-31

Tanks mogen slechts worden gevuld tot 1 kg per liter inhoud.

TU-32

Bijzondere bepaling TU-32

Tanks mogen slechts tot ten hoogste 88 % van hun inhoud zijn gevuld.

TU-33

Bijzondere bepaling TU-33

Tanks mogen slechts tot ten minste 88 % en ten hoogste 92 %, of tot 2,86 kg per liter inhoud zijn gevuld

TU-34

Bijzondere bepaling TU-34

Tanks mogen slechts tot ten hoogste 0,84 kg per liter inhoud zijn gevuld.

TU-35

Bijzondere bepaling TU-35

Ongereinigde, lege vaste tanks (tankwagens), lege afneembare tanks en lege tankcontainers, die deze stoffen hebben bevat, zijn niet onderworpen aan de voorschriften van het ADR indien geschikte maatregelen zijn genomen om mogelijke gevaren uit te sluiten. 

TU-36

Bijzondere bepaling TU-36

De vullingsgraad volgens 4.3.2.2, uitgaande van een referentietemperatuur van 15o C, mag niet meer bedragen dan 93% van de inhoud. 

 

TU-37

Bijzondere bepaling TU-37

Het vervoer in tanks is beperkt tot stoffen die ziekteverwekkers bevatten zonder dat sprake is van een ernstig gevaar en waartegen, hoewel deze bij mensen of dieren na blootstelling een ernstige infectie kan veroorzaken, in het algemeen een effectieve behandeling en profylaxe bestaat, zodat het risico van verspreiding van de infectie beperkt is (d.w.z. matig individueel risico en beperkt collectief risico).

TU-38

Bijzondere bepaling TU-38

Gereserveerd

TU-39

Bijzondere bepaling TU-39

De geschiktheid van de stof voor vervoer in tanks moet worden aangetoond. De methode om deze geschiktheid te beoordelen moet door de bevoegde autoriteit worden goedgekeurd. Eén methode is beproeving 8 (d) in testreeks 8 (zie het Handboek beproevingen en criteria, deel 1, subsectie 18.7).

Stoffen mogen niet zodanig lang in de tank blijven dat stolling het gevolg kan zijn. Geschikte maatregelen moeten worden genomen om opeenhoping en afzetting van stoffen in de tank te vermijden (bijv. reiniging, enz.).

TU-40

Bijzondere bepaling TU-40

Mag alleen worden vervoerd in batterijwagens of MEGC's waarvan de elementen uit naadloze houders bestaan.


TU-41

Bijzondere bepaling TU-41

De geschiktheid van de stof voor vervoer in tanks moet naar tevredenheid van de bevoegde autoriteit van elk land waardoor of waarheen het vervoer plaatsvindt worden aangetoond.

De methode voor het beoordelen van deze geschiktheid moet worden goedgekeurd door de bevoegde autoriteit van een Overeenkomstsluitende Partij bij het ADR, die tevens kan overgaan tot erkenning van een goedkeuring verleend door de bevoegde autoriteit van een land dat geen Overeenkomstsluitende Partij bij het ADR is, mits bedoelde goedkeuring is verleend in overeenstemming met de procedures die volgens het ADR, het RID, het ADN of de IMDG Code van toepassing zijn.

Stoffen mogen niet zodanig lang in de tank blijven dat stolling het gevolg kan zijn. Er moeten passende maatregelen worden genomen om opeenhoping en afzetting van stoffen in de tank te vermijden (bijv. reiniging, enz.). 

TU-42

Bijzondere bepaling TU-42

Tanks met een reservoir van een aluminiumlegering, met inbegrip van diegene met beschermende bekleding, mogen alleen worden gebruikt als de pH-waarde van de stof niet lager is dan 5,0 en niet hoger dan 8,0.

TU-43

Bijzondere bepaling TU-43

Een lege ongereinigde tank mag ten vervoer worden aangeboden binnen een termijn van ten hoogste 3 maanden na het verstrijken van de termijn vastgesteld voor de laatste inspectie van de bekleding ten behoeve van de volgende inspectie, voorafgaand aan het opnieuw vullen (zie bijzondere bepaling TT 2 in 6.8.4 d).