Skip to main content

DEEL 1 - Algemene voorschriften
Hoofdstuk 1    
1.1   Toepassingsgebied en toepasbaarheid
1.1.1   Structuur
1.1.2 Toepassingsgebied
1.1.3 Vrijstellingen
1.1.3.1 Vrijstellingen die samenhangen met de aard van het vervoersproces
1.1.3.2 Vrijstellingen in samenhang met het vervoer van gassen
1.1.3.3 Vrijstellingen in samenhang met het vervoer van vloeibare brandstoffen
1.1.3.4 Vrijstellingen in samenhang met bijzondere bepalingen of met gevaarlijke goederen, verpakt in gelimiteerde of vrijgestelde hoeveelheden
1.1.3.5 Vrijstellingen in samenhang met ongereinigde lege verpakkingen
1.1.3.6 Vrijstellingen in samenhang met de vervoerde hoeveelheden per transporteenheid
1.1.3.7 Vrijstellingen in samenhang met het vervoer van inrichtingen voor de opslag en productie van elektriciteit
1.1.3.8 Gereserveerd
1.1.3.9 Vrijstellingen in samenhang met gevaarlijke goederen die tijdens vervoer als koel- of conditioneringsmiddel worden gebruikt
1.1.3.10 Vrijstellingen in samenhang met het vervoer van lampen die gevaarlijke goederen bevatten
1.1.4 Toepasbaarheid van andere voorschriften
1.1.4.1 Gereserveerd
1.1.4.2 Vervoer in een transportketen die vervoer over zee of door de lucht omvat
1.1.4.3 Gebruik van transporttanks van het IMO-type, toegelaten voor het zeevervoer
1.1.4.4 Gereserveerd
1.1.4.5 Vervoer dat niet over de weg plaatsvindt
1.1.4.7 Hervulbare drukhouders toegelaten door de Verenigde Staten
1.1.5 Toepassing van normen
     
Hoofdstuk 2    
1.2 Definities, meeteenheden en afkortingen
1.2.1 Definities
1.2.2 Meeteenheden
     
Hoofdstuk 3    
1.3 Opleiding van personen die betrokken zijn bij het vervoer van gevaarlijke goederen Toepassingsgebied
1.3.1 Aard van de opleiding
1.3.2.1 Algemene bewustmaking
1.3.2.2 Functiespecifieke opleiding
1.3.2.3 Veiligheidsopleiding
1.3.3 Documentatie
     
Hoofdstuk 4    
1.4 Veiligheidsplichten van de betrokkenen
1.4.1 Algemene zorg voor de veiligheid
1.4.2 Plichten van de belangrijkste betrokkenen
1.4.2.1 Afzender
1.4.2.2 Vervoerder
1.4.2.3 Geadresseerde
1.4.3 Plichten van andere betrokkenen
1.4.3.1 Belader
1.4.3.2 Verpakker
1.4.3.3 Vuller
1.4.3.4 Exploitant van een tankcontainer of transporttank
1.4.3.5 Gereserveerd
1.4.3.6 Gereserveerd
1.4.3.7 Losser
     
Hoofdstuk 5    
1.5 Afwijkingen
1.5.1 Tijdelijke afwijkingen
1.5.2 Gereserveerd
     
Hoofdstuk 6    
1.6   Overgangsvoorschriften
1.6.1   Algemeen
1.6.2   Drukhouders en houders voor klasse 2
1.6.3 Vaste tanks (tankwagens), afneembare tanks en batterijwagens
1.6.4 Tankcontainers, transporttanks en MEGC’s
1.6.5 Voertuigen
1.6.6 Klasse 7
     
Hoofdstuk 7    
1.7 Algemene bepalingen voor radioactieve stoffen
1.7.1   Toepassingsgebied
1.7.1.5   Bijzondere voorschriften voor het vervoer van vrijgestelde colli
1.7.2   Stralingsbeschermingsprogramma
1.7.3   Beheersysteem
1.7.4   Speciale regeling
1.7.5   Radioactieve stoffen die bijkomende gevaarseigenschappen bezitten
1.7.6   Niet-naleving
     
Hoofdstuk 8    
1.8 Controlemaatregelen en andere maatregelen voor de ondersteuning van de naleving van de veiligheidsvoorschriften
1.8.1   Controles van gevaarlijke goederen van overheidswege
1.8.2   Ambtelijke hulp
1.8.3   Veiligheidsadviseur
1.8.3.12   Examens
1.8.3.16   Geldigheidsduur en verlenging van het certificaat
1.8.3.18   Model van het certificaat
1.8.3.19   Uitbreiding van het certificaat
1.8.4   Lijst van de bevoegde autoriteiten en de door hen aangewezen instanties
1.8.5   Meldingen van gebeurtenissen met gevaarlijke goederen
1.8.5.4   Model voor een rapport over gebeurtenissen tijdens het vervoer van gevaarlijke goederen
1.8.6   Administratieve controles voor de toepassing van conformiteitsbeoordelingen, periodieke onderzoeken, tussentijdse onderzoeken en buitengewone controles omschreven in 1.8.7
1.8.6.1   Erkenning van onderzoeksinstanties
1.8.6.2   Verplichtingen voor de werkwijze van de bevoegde autoriteit, haar gemachtigde of onderzoeksinstantie
1.8.6.3   Verplichting tot het verstrekken van informatie
1.8.6.4   Delegatie van onderzoekstaken
1.8.6.5   Verplichting tot het verstrekken van informatie door de onderzoeksinstanties
1.8.7   Procedures voor conformiteitsbeoordeling en periodiek onderzoek
1.8.7.1   Algemene bepalingen
1.8.7.2   Typegoedkeuring
1.8.7.3   Toezicht op de fabricage
1.8.7.4   Eerste onderzoek en beproevingen
1.8.7.5   Periodiek onderzoek, tussentijds onderzoek en buitengewone controles
1.8.7.6   Toezicht op de interne inspectiedienst van de aanvrager
1.8.7.7   Documenten
1.8.7.8   Producten vervaardigd, goedgekeurd, onderzocht en beproefd volgens normen
1.8.8   Procedures voor de conformiteitsbeoordeling van gaspatronen
1.8.8.1   Algemene bepalingen
1.8.8.2   Onderzoek van het ontwerptype
1.8.8.3   Toezicht op de fabricage
1.8.8.4   Dichtheidsproef
1.8.8.5   (Gereserveerd)
1.8.8.6   Toezicht op de interne inspectiedienst
1.8.8.7   Documenten
     
Hoofdstuk 9    
1.9 Beperkingen in het vervoer door de bevoegde autoriteiten
1.9.5   Beperkingen in tunnels
1.9.5.1   Algemene bepalingen
1.9.5.2   Vaststelling van de categorieën
1.9.5.3   Bepalingen voor verkeersborden en kennisgeving van beperkingen
     
Hoofdstuk 10    
1.10   Voorschriften voor de beveiliging
1.10.1   Algemene voorschriften
1.10.2   Opleiding met het oog op de beveiliging
1.10.3   Voorschriften voor gevaarlijke goederen met een hoog gevarenpotentieel
1.10.3.1   Definitie van gevaarlijke goederen met een hoog gevarenpotentieel
1.10.3.2   Beveiligingsplannen
DEEL 2 - Classificatie
Hoofdstuk 1    
2.1 Algemene voorschriften
2.1.1 Inleiding
2.1.2   Principes van de classificatie
2.1.3   Classificatie van niet met name genoemde stoffen met inbegrip van oplossingen en mengsels (zoals preparaten, formuleringen en afvalstoffen)
2.1.4   Classificatie van monsters
2.1.5   Classificatie van voorwerpen als voorwerpen die gevaarlijke stoffen bevatten, n.e.g.
2.1.6   Classificatie van afgedankte verpakkingen, leeg, ongereinigd
     
Hoofdstuk 2    
2.2   Bijzondere voorschriften voor de afzonderlijke klassen
2.2.1   Klasse 1 Ontplofbare stoffen en voorwerpen
2.2.1.1   Criteria
2.2.1.1.6   Definitie van de compatibiliteitsgroepen van de stoffen en voorwerpen
2.2.1.1.7   Indeling van vuurwerk in de subklassen
2.2.1.1.7.5   Defaulttabel voor de classificatie van vuurwerk
2.2.1.1.8   Uitzondering van klasse 1
2.2.1.2   Niet ten vervoer toegelaten stoffen en voorwerpen
2.2.1.3   Lijst van verzamelaanduidingen
2.2.1.4   Glossarium van de benamingen
     
2.2.2   Klasse 2 Gassen
2.2.2.1   Criteria
2.2.2.1.7   Chemische stoffen onder druk
2.2.2.2   Niet ten vervoer toegelaten gassen
2.2.2.3   Lijst van verzamelaanduidingen
     
2.2.3   Klasse 3 Brandbare vloeistoffen
2.2.3.1   Criteria
2.2.3.2   Niet ten vervoer toegelaten stoffen
2.2.3.3   Lijst van verzamelaanduidingen
     
2.2.41   Klasse 4.1: Brandbare vaste stoffen, polymeriserende stoffen, zelfontledende stoffen en vaste ontplofbare stoffen in niet explosieve toestand
2.2.41.1   Criteria
2.2.41.2   Niet ten vervoer toegelaten stoffen
2.2.41.3   Lijst van verzamelaanduidingen
2.2.41.4   Lijst van reeds ingedeelde zelfontledende stoffen in verpakkingen
     
2.2.42   Klasse 4.2: Voor zelfontbranding vatbare stoffen
2.2.42.1   Criteria
2.2.42.2   Niet ten vervoer toegelaten stoffen
2.2.42.3   Lijst van verzamelaanduidingen
     
2.2.43   Klasse 4.3: Stoffen die in contact met water brandbare gassen ontwikkelen
2.2.43.1   Criteria
2.2.43.2   Niet ten vervoer toegelaten stoffen
2.2.43.3   Lijst van verzamelaanduidingen
     
2.2.51   Klasse 5.1 Oxiderende stoffen
2.2.51.1   Criteria
2.2.51.2   Niet ten vervoer toegelaten stoffen
2.2.51.3   Lijst van verzamelaanduidingen
     
2.2.52   Klasse 5.2: Organische peroxiden
2.2.52.1   Criteria
2.2.52.2   Niet ten vervoer toegelaten stoffen
2.2.52.3   Lijst van verzamelaanduidingen
2.2.52.4   Lijst van reeds ingedeelde organische peroxiden in verpakkingen
     
2.2.61   Klasse 6.1 Giftige stoffen
2.2.61.1   Criteria
2.2.61.2   Niet ten vervoer toegelaten stoffen
2.2.61.3   Lijst van verzamelaanduidingen
     
2.2.62   Klasse 6.2 Infectueuze stoffen (besmettelijke stoffen)
2.2.62.1   Criteria
2.2.62.1.9   Biologische producten
2.2.62.1.10   Genetisch gemodificeerde micro-organismen en organismen
2.2.62.1.11   Ziekenhuis- of medisch afval
2.2.62.1.12   Besmette dieren
2.2.62.2   Niet ten vervoer toegelaten stoffen
2.2.62.3   Lijst van verzamelaanduidingen
     
2.2.7   Klasse 7 Radioactieve stoffen
2.2.7.1   Definities
2.2.7.1.2   Besmetting
2.2.7.1.3   Definities van specifieke termen
2.2.7.2   Classificatie
2.2.7.2.1   Algemene bepalingen
2.2.7.2.2   Grenswaarden van de activiteit
2.2.7.2.3   Bepaling van andere stofeigenschappen
2.2.7.2.3.1   Stoffen met geringe specifieke activiteit (LSA)
2.2.7.2.3.3   Radioactieve stoffen in speciale toestand
2.2.7.2.3.4   Gering verspreidbare radioactieve stoffen
2.2.7.2.3.5   Splijtbare stoffen
2.2.7.2.4   Classificatie van colli of onverpakte stoffen
2.2.7.2.4.1   Classificatie als vrijgesteld collo
2.2.7.2.5   Speciale regelingen
     
2.2.8   Klasse 8 Bijtende stoffen
2.2.8.1   Definitie, algemene voorschriften en criteria
2.2.8.2   Niet ten vervoer toegelaten stoffen
2.2.8.3   Lijst van verzamelaanduidingen
     
2.2.9   Klasse 9 Diverse gevaarlijke stoffen en voorwerpen
2.2.9.1   Criteria
2.2.9.2   Niet ten vervoer toegelaten stoffen en voorwerpen
2.2.9.3   Lijst van posities
     
Hoofdstuk 3    
2.3 Testmethoden
2.3.0   Algemeen
2.3.1   Beproeving van het uitzweten voor springstof, type A
2.3.2   Beproevingen betreffende genitreerde cellulosemengsels van klasse 4.1
2.3.2.9   Beproeving van de chemische stabiliteit bij verhoogde temperatuur
2.3.2.10   Ontbrandingstemperatuur (zie 2.3.2.1 en 2.3.2.2)
2.3.3   Beproevingen betreffende brandbare vloeistoffen van de klassen 3, 6.1 en 8.
2.3.3.1   Bepaling van het vlampunt
2.3.3.2   Bepaling van het beginkookpunt
2.3.3.3   Beproeving voor de bepaling van het peroxidegehalte
2.3.4   Beproeving voor de bepaling van het vloeigedrag
2.3.4.1   Meetapparaat
2.3.4.2   Beproevingsmethode
2.3.4.3   Beoordeling van de beproevingsresultaten
2.3.5   Indeling van metaalorganische stoffen in de klassen 4.2.en 4.3
     
DEEL 4 - Voorschriften voor verpakkingen en tanks
Hoofdstuk 1    
4.1 Gebruik van verpakkingen, met inbegrip van IBC’s en grote verpakkingen
4.1.1 Algemene voorschriften voor het verpakken van gevaarlijke goederen in verpakkingen, met inbegrip van IBC's en grote verpakkingen
4.1.1.18 Ontplofbare stoffen, zelfontledende stoffen en organische peroxiden
4.1.1.19 Gebruik van bergingsverpakkingen en grote bergingsverpakkingen
4.1.1.20 Gebruik van bergingsdrukhouders
4.1.1.21 Verificatie van de chemische compatibiliteit van kunststof verpakkingen, met inbegrip van IBC's, door assimilatie van vulstoffen aan standaardvloeistoffen
4.1.2 Aanvullende algemene voorschriften voor het gebruik van IBC's
4.1.3 Algemene voorschriften met betrekking tot verpakkingsinstructies 
4.1.3.6 Drukhouders voor vloeistoffen en vaste stoffen
4.1.3.8 Onverpakte voorwerpen met uitzondering van voorwerpen van klasse 1
4.1.4 Lijst met verpakkingsinstructies
4.1.4.1 Verpakkingsinstructies betreffende het gebruik van verpakkingen (uitgezonderd IBC's en grote verpakkingen)
4.1.4.2 Verpakkingsinstructies betreffende het gebruik van IBC's
4.1.4.3 Verpakkingsinstructies betreffende het gebruik van grote verpakkingen 
4.1.5 Bijzondere verpakkingsvoorschriften voor goederen van klasse 1
4.1.6 Bijzondere verpakkingsvoorschriften voor stoffen van klasse 2 en stoffen van andere klassen, waaraan verpakkingsinstructie P200 is toegekend
4.1.7 Bijzondere verpakkingsvoorschriften voor organische peroxiden van klasse 5.2 en zelfontledende stoffen van klasse 4.1
4.1.7.1 Gebruik van verpakkingen (met uitzondering van IBC’s)
4.1.7.2 Gebruik van IBC's
4.1.8 Bijzondere verpakkingsvoorschriften voor infectueuze stoffen (klasse 6.2)
4.1.9 Bijzondere verpakkingsvoorschriften voor radioactieve stoffen
4.1.9.1 Algemeen
4.1.9.2 Voorschriften en controlemaatregelen voor het vervoer van LSA-stoffen en SCO
4.1.9.3 Colli die splijtbare stoffen bevatten
4.1.10 Bijzondere voorschriften voor gezamenlijke verpakking 
     
Hoofdstuk 2    
4.2 Gebruik van transporttanks en un-gascontainers met verscheidene elementen (MEGC’s)
4.2.1 Algemene voorschriften voor het gebruik van transporttanks voor het vervoer van stoffen van klassen 1 en 3 t/m 9
4.2.1.9 Vullingsgraad
4.2.1.10 Aanvullende voorschriften die van toepassing zijn op het vervoer van klasse 3 stoffen in transporttanks
4.2.1.11 Aanvullende voorschriften die van toepassing zijn op het vervoer van stoffen van klassen 4.1, 4.2 of 4.3 (met uitzondering van zelfontledende stoffen van klasse 4.1) in transporttanks
4.2.1.12 Aanvullende voorschriften die van toepassing zijn op het vervoer van stoffen van klasse 5.1 in transporttanks
4.2.1.13 Aanvullende voorschriften die van toepassing zijn op het vervoer van stoffen van klasse 5.2 en zelfontledende stoffen van klasse 4.1 in transporttanks
4.2.1.14 Aanvullende voorschriften die van toepassing zijn op het vervoer van stoffen van klasse 6.1 in transporttanks
4.2.1.15 Aanvullende voorschriften die van toepassing zijn op het vervoer van stoffen van klasse 6.2 in transporttanks
4.2.1.16 Aanvullende voorschriften die van toepassing zijn op het vervoer van stoffen van klasse 7 in transporttanks
4.2.1.17 Aanvullende voorschriften die van toepassing zijn op het vervoer van stoffen van klasse 8 in transporttanks
4.2.1.18 Aanvullende voorschriften die van toepassing zijn op het vervoer van stoffen van klasse 9 in transporttanks
4.2.1.19 Aanvullende voorschriften die van toepassing zijn op het vervoer van vaste stoffen die worden vervoerd bij temperaturen boven hun smeltpunt
4.2.2 Algemene voorschriften voor het gebruik van transporttanks voor het vervoer van niet sterk gekoelde, vloeibaar gemaakte gassen en chemische stoffen onder druk
4.2.2.7 Het vullen
4.2.3 Algemene voorschriften voor het gebruik van transporttanks voor het vervoer van sterk gekoelde, vloeibaar gemaakte gassen
4.2.3.6 Het vullen
4.2.3.7 Werkelijke verblijftijd
4.2.4 Algemene voorschriften voor het gebruik van UN-gascontainers met verscheidene elementen (MEGC's)
4.2.4.5 Het vullen
4.2.5 Instructies en bijzondere bepalingen voor transporttanks
4.2.5.1 Algemeen
4.2.5.2 Transporttank-instructies
4.2.5.3 Bijzondere bepalingen voor transporttanks
     
Hoofdstuk 3    
4.3 Gebruik van vaste tanks (tankwagens), afneembare tanks, tankcontainers en wissellaadtanks met metalen reservoirs en batterijwagens en gascontainers met verscheidene elementen (MEGC’s)
4.3.1 Toepassingsgebied
4.3.2 Voorschriften van toepassing op alle klassen
4.3.2.1 Gebruik
4.3.2.2 Vullingsgraad
4.3.2.3 Bedrijf
4.3.2.4 Lege, ongereinigde tanks, batterijwagens en MEGC's
4.3.3 Bijzondere bepalingen van toepassing op klasse 2
4.3.3.1 De codering en hiërarchie van tanks
4.3.3.2 Voorwaarden voor het vullen en beproevingsdrukken
4.3.3.3 Bedrijf
4.3.4 Bijzondere bepalingen, van toepassing op de klassen 1 en 3 t/m 9
4.3.4.1 Codering, gerationaliseerde benadering en tankhiërarchie
4.3.4.2 Algemene voorschriften
4.3.5 Bijzondere bepalingen
     
Hoofdstuk 4    
4.4 Gebruik van vaste tanks (tankwagens), afneembare tanks, tankcontainers en wissellaadtanks van vezelgewapende kunststof
4.4.1 Algemeen
4.4.2 Bedrijf
     
Hoofdstuk 5    
4.5 Gebruik van druk/vacuümtanks (voor afvalstoffen)
4.5.1 Gebruik
4.5.2 Bedrijf
     
Hoofdstuk 6    
4.6 (Gereserveerd)
     
Hoofdstuk 7    
4.7 Gebruik van mobiele eenheden voor de fabricage van ontplofbare stoffen of voorwerpen (MEMU's)
4.7.1 Gebruik
4.7.2 Bedrijf
     
DEEL 5 - Procedures voor de verzending
Hoofdstuk 1    
5.1 Algemene voorschriften
5.1.1 Toepassing en algemene voorschriften
5.1.2 Het gebruik van oververpakkingen
5.1.3 Lege, ongereinigde verpakkingen (met inbegrip van IBC's en grote verpakkingen), tanks, MEMU’s, voertuigen en containers voor vervoer als los gestort goed
5.1.4 Gezamenlijke verpakking
5.1.5 Algemene voorschriften voor klasse 7
5.1.5.1 Goedkeuring van verzendingen en kennisgeving
5.1.5.1.1 Algemeen
5.1.5.1.2 Goedkeuring voor de verzending
5.1.5.1.3 Goedkeuring van een verzending op grond van een speciale regeling
5.1.5.1.4 Kennisgevingen
5.1.5.2 Certificaten, uitgegeven door de bevoegde autoriteit
5.1.5.3 Bepaling van de transportindex (TI) en de criticaliteits-veiligheidsindex (CSI)
5.1.5.4 Specifieke bepalingen voor vrijgestelde colli met radioactieve stoffen van klasse 7
5.1.5.5 Samenvatting van voorschriften inzake goedkeuring en voorafgaande kennisgeving
     
Hoofdstuk 2    
5.2 Kenmerking en etikettering
5.2.1 Kenmerking van colli
5.2.1.5 Aanvullende voorschriften voor goederen van klasse 1
5.2.1.6 Aanvullende voorschriften voor goederen van klasse 2
5.2.1.7 Bijzondere voorschriften voor het kenmerken van radioactieve stoffen
5.2.1.8 Bijzondere bepalingen voor de kenmerking van milieugevaarlijke stoffen
5.2.1.9 Kenmerking van lithiumbatterijen
5.2.1.10 Richtinggevende pijlen
5.2.2 De etikettering van colli
5.2.2.1 Etiketteringsvoorschriften
5.2.2.1.10 Bijzondere bepalingen voor de etikettering van colli met infectueuze stoffen.
5.2.2.1.11 Bijzondere bepalingen voor de etikettering van radioactieve stoffen
5.2.2.2 Voorschriften voor etiketten
5.2.2.2.2 Modellen van etiketten
     
Hoofdstuk 3    
5.3 Etikettering en kenmerking van containers, bulkcontainers, MEGC's, MEMU’s, tankcontainers, transporttanks en voertuigen
5.3.1 Het aanbrengen van grote etiketten
5.3.1.1 Algemene voorschriften
5.3.1.2 Het aanbrengen van grote etiketten op containers, bulkcontainers, MEGC’s, tankcontainers en transporttanks
5.3.1.3 Het aanbrengen van grote etiketten op voertuigen die containers, bulkcontainers, MEGC's, tankcontainers of transporttanks vervoeren
5.3.1.4 Het aanbrengen van grote etiketten op voertuigen voor vervoer als los gestort goed, tankwagens, batterijwagens, MEMU’s en voertuigen met afneembare tanks
5.3.1.5 Het aanbrengen van grote etiketten op voertuigen die uitsluitend colli vervoeren
5.3.1.6 Het aanbrengen van grote etiketten op lege tankwagens, batterijwagens, MEGC’s, MEMU’s, tankcontainers, transporttanks en op lege voertuigen en containers voor vervoer als los gestort goed
5.3.1.7 Specificaties voor grote etiketten
5.3.2 Oranje borden
5.3.2.1 Algemene voorschriften voor oranje borden
5.3.2.2 Specificaties voor de oranje borden
5.3.2.3 Betekenis van gevaarsidentificatienummers
5.3.3 Kenmerk voor stoffen die in verwarmde toestand worden vervoerd
5.3.6 Kenmerking voor milieugevaarlijke stoffen
     
Hoofdstuk 4    
5.4 Documentatie
5.4.0 Algemeen
5.4.1 Vervoersdocument voor gevaarlijke goederen en daarmee samenhangende informatie
5.4.1.1 Algemene informatie, die in het vervoersdocument moet staan
5.4.1.1.3 Bijzondere bepalingen voor afvalstoffen
5.4.1.1.5 Bijzondere bepalingen voor bergingsverpakkingen en bergingsdrukhouders
5.4.1.1.6 Bijzondere bepalingen voor lege, ongereinigde middelen van omsluiting
5.4.1.1.7 Bijzondere bepalingen voor vervoer in een transportketen die vervoer over zee of door de lucht omvat
5.4.1.1.11 Bijzondere bepalingen voor het vervoer van IBC's, tanks, batterijwagens of transporttanks en MEGC’s na het verstrijken van de termijn voor de laatste periodieke beproeving of inspectie
5.4.1.1.13 Bijzondere bepalingen voor het vervoer in tankwagens met meerdere compartimenten of in transporteenheden met meer dan één tank.
5.4.1.1.14 Bijzondere bepalingen voor het vervoer van stoffen die bij verhoogde temperatuur vervoerd worden
5.4.1.1.15 Bijzondere bepalingen voor het vervoer van stoffen die door middel van temperatuurbeheersing gestabiliseerd zijn
5.4.1.1.16 Informatie vereist volgens bijzondere bepaling 640 in hoofdstuk 3.3
5.4.1.1.17 Bijzondere bepalingen voor het vervoer van vaste stoffen in bulkcontainers conform 6.11.4
5.4.1.1.18 Bijzondere bepalingen voor het vervoer van milieugevaarlijke stoffen (aquatisch milieu)
5.4.1.1.19 Bijzondere bepalingen voor het vervoer van afgedankte verpakkingen, leeg, ongereinigd (UN 3509)
5.4.1.1.20 Bijzondere bepalingen voor het vervoer van stoffen die overeenkomstig 2.1.2.8 zijn ingedeeld
5.4.1.1.21 Bijzondere bepalingen voor het vervoer van UN-nrs. 3528, 3529 en 3530
5.4.1.2 Aanvullende of bijzondere informatie, vereist voor bepaalde klassen
5.4.1.2.1 Bijzondere bepalingen voor klasse 1
5.4.1.2.2 Aanvullende bepalingen voor klasse 2
5.4.1.2.3 Aanvullende bepalingen voor zelfontledende stoffen en polymeriserende stoffen van klasse 4.1 en organische peroxiden van klasse 5.2
5.4.1.2.4 Aanvullende bepalingen voor klasse 6.2
5.4.1.2.5 Aanvullende bepalingen voor klasse 7
5.4.1.3 (Gereserveerd)
5.4.1.4 Vereiste opmaak en taal
5.4.1.5 Niet-gevaarlijke goederen
5.4.2 Container-/voertuigbeladingscertificaat
5.4.3 Schriftelijke instructies
5.4.4 Bewaring van informatie over het vervoer van gevaarlijke goederen
5.4.5 Voorbeeld van een formulier voor multimodaal vervoer van gevaarlijke goederen
     
Hoofdstuk 5    
5.5 Bijzondere bepalingen
5.5.1 (Geschrapt)
5.5.2 Bijzondere bepalingen van toepassing op gegaste laadeenheden (UN 3359)
5.5.2.1 Algemeen
5.5.2.2 Opleiding
5.5.2.3 Kenmerking en grote etiketten
5.5.2.4 Documentatie
5.5.3 Bijzondere bepalingen van toepassing op colli en voertuigen en containers met stoffen die een verstikkingsgevaar vertonen wanneer zij voor koelings- of conditioneringsdoeleinden worden gebruikt (zoals droogijs [UN 1845] of stikstof, sterk gekoeld, vloeibaar [UN 1977] of argon, sterk gekoeld, vloeibaar [UN 1951])
5.5.3.1 Toepassingsgebied
5.5.3.2 Algemeen
5.5.3.3 Colli die een koel- of conditioneringsmiddel bevatten
5.5.3.4 Kenmerking van colli die een koel- of conditioneringsmiddel bevatten
5.5.3.5 Voertuigen en containers die onverpakt droogijs bevatten
5.5.3.6 Kenmerking van voertuigen en containers
5.5.3.7 Documentatie
     
DEEL 6 - Voorschriften voor de constructie en beproeving van verpakkingen, IBC’s, grote verpakkingen en tanks
Hoofdstuk 1    
6.1 Voorschriften voor de constructie en beproeving van verpakkingen
6.1.1 Algemeen
6.1.2 Code voor de aanduiding van typen van verpakkingen
6.1.3 Kenmerk
6.1.4 Eisen aan verpakkingen
6.1.4.0 Algemene voorschriften
6.1.4.1 Stalen vaten
6.1.4.2 Aluminium vaten
6.1.4.3 Vaten van een ander metaal dan staal of aluminium
6.1.4.4 Jerrycans van staal of aluminium
6.1.4.5 Vaten van gelamineerd hout
6.1.4.7 Kartonnen vaten
6.1.4.8 Vaten en jerrycans van kunststof
6.1.4.9 Kisten van natuurlijk hout
6.1.4.10 Kisten van gelamineerd hout
6.1.4.11 Kisten van houtvezelmateriaal
6.1.4.12 Kartonnen dozen
6.1.4.13 Dozen van kunststof
6.1.4.14 Kisten van staal, aluminium of ander metaal
6.1.4.15 Zakken van textiel
6.1.4.16 Zakken van kunststof weefsel
6.1.4.17 Zakken van kunststof folie
6.1.4.18 Papieren zakken
6.1.4.19 Combinatieverpakkingen (kunststof)
6.1.4.20 Combinatieverpakkingen (glas, porselein of aardewerk)
6.1.4.21 Samengestelde verpakkingen
6.1.4.22 Lichte metalen verpakkingen
6.1.5 Voorschriften voor de beproeving van de verpakkingen
6.1.5.1 Uitvoering en herhaling van de beproevingen
6.1.5.2 Voorbereiding van de verpakkingen en de colli voor de beproevingen
6.1.5.3 Valproef
6.1.5.4 Dichtheidsproef
6.1.5.5 Beproeving met inwendige druk (hydraulische proefpersing)
6.1.5.6 Stapelproef
6.1.5.7 Aanvullende beproeving van permeatie bij vaten en jerrycans van kunststof volgens 6.1.4.8 en combinatieverpakkingen (kunststof) volgens 6.1.4.19, bestemd voor het vervoer van vloeistoffen met een vlampunt £60 oC, met uitzondering van de verpakkingen 6HA1
6.1.5.8 Beproevingsrapport
6.1.6 Standaardvloeistoffen voor het aantonen van de chemische bestendigheid van verpakkingen, met inbegrip van IBC’s, van polyetheen, volgens respectievelijk 6.1.5.2.6 en 6.5.6.3.5.
     
Hoofdstuk 2    
6.2 Voorschriften voor de constructie en de beproeving van drukhouders, spuitbussen, houders, klein, met gas (gaspatronen) en patronen voor brandstofcellen met vloeibaar gemaakt, brandbaar gas
6.2.1 Algemene voorschriften
6.2.1.1 Ontwerp en constructie
6.2.1.2 Materialen
6.2.1.3 Bedrijfsuitrusting
6.2.1.4 Goedkeuring van drukhouders
6.2.1.5 Eerste onderzoek en beproeving
6.2.1.6 Periodiek onderzoek en beproeving
6.2.1.7 Voorschriften voor fabrikanten
6.2.1.8 Voorschriften voor onderzoeksinstanties
6.2.2 Voorschriften voor UN-drukhouders
6.2.2.1 Ontwerp, constructie en eerste onderzoek en beproeving
6.2.2.2 Materialen
6.2.2.3 Bedrijfsuitrusting
6.2.2.4 Periodiek onderzoek en beproeving
6.2.2.5 Conformiteitbeoordelingssysteem en goedkeuring voor de fabricage van drukhouders
6.2.2.6 Goedkeuringssysteem voor periodiek onderzoek en beproeving van drukhouders
6.2.2.7 Merktekens op hervulbare UN-drukhouders
6.2.2.8 Merktekens op niet-hervulbare UN-drukhouders
6.2.2.9 Merktekens op UN-opslagsystemen met metaalhydride
6.2.2.10 Merktekens op UN-flessenbatterijen
6.2.2.11 Equivalente procedures voor conformiteitsbeoordeling en periodiek onderzoek en beproeving
6.2.3 Algemene voorschriften voor niet-UN-drukhouders
6.2.3.1 Ontwerp en constructie
6.2.3.3 Bedrijfsuitrusting
6.2.3.4 Eerste onderzoek en beproeving
6.2.3.5 Periodiek onderzoek en beproeving
6.2.3.6 Goedkeuring van drukhouders
6.2.3.7 Voorschriften voor fabrikanten
6.2.3.8 Voorschriften voor onderzoeksinstanties
6.2.3.9 Merktekens op hervulbare drukhouders
6.2.3.10 Merktekens op niet-hervulbare drukhouders
6.2.3.11 Bergingsdrukhouders
6.2.4 Voorschriften voor niet-UN-drukhouders, die volgens normen waarnaar wordt verwezen, zijn ontworpen, geconstrueerd en beproefd
6.2.4.2 Periodiek onderzoek en beproeving
6.2.5 Voorschriften voor niet-UN-drukhouders die niet volgens normen zijn ontworpen, geconstrueerd en beproefd
6.2.5.1 Materialen
6.2.5.2 Bedrijfsuitrusting
6.2.5.3 Metalen flessen, grote cilinders, drukvaten en flessenbatterijen
6.2.5.4 Aanvullende bepalingen die betrekking hebben op drukhouders vervaardigd van een aluminiumlegering voor samengeperste gassen, vloeibaar gemaakte gassen, opgeloste gassen en drukloze gassen die aan bijzondere voorschriften onderworpen zijn (gasmonsters), alsmede op voorwerpen die gas onder druk bevatten met uitzondering van spuitbussen en houders, klein, met gas (gaspatronen)
6.2.5.5 Drukhouders van composietmaterialen
6.2.5.6 Gesloten cryo-houders
6.2.6 Algemene voorschriften voor spuitbussen, houders, klein, met gas (gaspatronen), alsmede voor patronen voor brandstofcellen die een vloeibaar gemaakt, brandbaar gas bevatten
6.2.6.1 Ontwerp en constructie
6.2.6.2 Hydraulische drukproef
6.2.6.3 Dichtheidsproef
6.2.6.4 Verwijzing naar normen
     
Hoofdstuk 3    
6.3 Voorschriften voor de constructie en de beproeving van verpakkingen voor infectueuze (besmettelijke) stoffen van categorie A van klasse 6.2
6.3.1 Algemeen
6.3.2 Voorschriften voor verpakkingen
6.3.3 Code voor de aanduiding van de typen verpakkingen
6.3.4 Kenmerk
6.3.4.4 Voorbeeld van kenmerk
6.3.5 Beproevingseisen voor verpakkingen
6.3.5.1 Uitvoering en frequentie van de beproevingen
6.3.5.2 Voorbereiding van verpakkingen voor de beproeving
6.3.5.3 Valproef
6.3.5.4 Doorstootproef
6.3.5.5 Beproevingsrapport
     
Hoofdstuk 4    
6.4 Voorschriften voor de constructie, beproeving en goedkeuring van colli voor radioactieve stoffen en voor de goedkeuring van dergelijke stoffen
6.4.1 (Gereserveerd)
6.4.2 Algemene bepalingen
6.4.3 (Gereserveerd)
6.4.4 Bepalingen voor vrijgestelde colli
6.4.5 Bepalingen voor industriële colli
6.4.6 Bepalingen voor colli die uraniumhexafluoride bevatten
6.4.7 Bepalingen voor colli van type A
6.4.8 Bepalingen voor colli van type B(U)
6.4.9 Bepalingen voor colli van type B(M)
6.4.10 Bepalingen voor colli van type C
6.4.11 Bepalingen voor colli met splijtbare stoffen
6.4.12 Beproevingsprocedures en bewijs van overeenstemming
6.4.13 Beproeving van de goede staat van de borghouder en de afscherming en beoordeling van de veiligheid ten aanzien van criticaliteit
6.4.14 Trefplaat voor valproeven
6.4.15 Beproeving met het doel aan te tonen dat het collo normale vervoersomstandigheden kan doorstaan
6.4.16 Bijkomende beproevingen voor colli van type A ontworpen voor vloeistoffen en gassen
6.4.17 Beproevingen met het doel om aan te tonen dat het collo ongevalsomstandigheden tijdens het vervoer kan doorstaan
6.4.18 Verzwaarde onderdompelingsbeproeving in water voor colli van type B(U) en van type B(M) die meer dan 105 A2 bevatten en colli van type C
6.4.19 Beproeving van waterlekkage voor colli die splijtbare stoffen bevatten
6.4.20 Beproevingen voor colli van type C
6.4.21 Keuringen van verpakkingen ontworpen om ten minste 0,1 kg uraniumhexafluoride te bevatten
6.4.22 Goedkeuring van het model van colli en stoffen
6.4.23 Aanvragen voor goedkeuring en goedkeuring voor het vervoer van radioactieve stoffen
     
Hoofdstuk 5    
6.5 Voorschriften voor de constructie en beproeving van IBC’s
6.5.1 Algemene voorschriften
6.5.1.1 Toepassingsgebied
6.5.1.4 Coderingssysteem voor de kenmerking van IBC's
6.5.2 Kenmerk
6.5.2.1 Basiskenmerk
6.5.2.2 Aanvullende kenmerking
6.5.2.3 Overeenstemming met het ontwerptype
6.5.2.4 Kenmerk van omgebouwde combinatie-IBC’s (31HZ1)
6.5.3 Voorschriften voor de constructie
6.5.3.1 Algemene voorschriften
6.5.4 Beproeving, certificering en inspectie
6.5.4.4 Inspectie en beproeving
6.5.4.5 Gerepareerde IBC's
6.5.5 Bijzondere voorschriften voor IBC’s
6.5.5.1 Bijzondere voorschriften voor metalen IBC's
6.5.5.2 Bijzondere voorschriften voor flexibele IBC's
6.5.5.3 Bijzondere voorschriften voor IBC's van stijve kunststof
6.5.5.4 Bijzondere voorschriften voor combinatie-IBC's met binnenhouder van kunststof
6.5.5.5 Bijzondere voorschriften voor kartonnen IBC's
6.5.5.6 Bijzondere voorschriften voor houten IBC's
6.5.6 Voorschriften voor de beproeving van IBC’s
6.5.6.1 Uitvoering en herhaling van de beproevingen
6.5.6.2 Beproevingen van het ontwerptype
6.5.6.3 Voorbereiding van de IBC's voor de beproevingen
6.5.6.4 Hefproef (onderzijde)
6.5.6.5 Hefproef (bovenzijde)
6.5.6.6 Stapelproef
6.5.6.7 Dichtheidsproef
6.5.6.8 Hydraulische drukproef (beproeving met inwendige druk)
6.5.6.9 Valproef
6.5.6.10 Scheurproef
6.5.6.11 Kantelproef
6.5.6.12 Oprichtproef
6.5.6.13 Vibratietest
6.5.6.14 Beproevingsrapport
     
Hoofdstuk 6    
6.6 Voorschriften voor de constructie en de beproeving van grote verpakkingen
6.6.1 Algemeen
6.6.2 Code voor het aanduiden van typen grote verpakkingen
6.6.3 Kenmerk
6.6.4 Bijzondere voorschriften voor grote verpakkingen
6.6.4.1 Bijzondere voorschriften voor metalen grote verpakkingen
6.6.4.2 Bijzondere voorschriften voor grote verpakkingen van flexibel materiaal
6.6.4.3 Bijzondere voorschriften voor grote verpakkingen van kunststof
6.6.4.4. Bijzondere voorschriften voor grote verpakkingen van karton
6.6.4.5 Bijzondere voorschriften voor grote verpakkingen van hout
6.6.5 Beproevingsvoorschriften voor grote verpakkingen
6.6.5.1 Uitvoering en frequentie van de beproevingen
6.6.5.2 Voorbereiding voor de beproeving
6.6.5.3 Beproevingsvoorschriften
6.6.5.4 Certificering en beproevingsrapport
     
Hoofdstuk 7    
6.7 Voorschriften voor het ontwerp, de constructie, het onderzoek en de beproeving van transporttanks en UN-gascontainers met verscheidene elementen (MEGC’s)
6.7.1 Toepassing en algemene voorschriften
6.7.2 Voorschriften voor het ontwerp, de constructie, het onderzoek en de beproeving van transporttanks, bestemd voor het vervoer van stoffen van de klassen 1 en 3 t/m 9
6.7.2.2 Algemene voorschriften voor ontwerp en constructie
6.7.2.3 Ontwerpcriteria
6.7.2.4 Minimale wanddikte van het reservoir
6.7.2.5 Bedrijfsuitrusting
6.7.2.6 Openingen aan de onderzijde
6.7.2.7 Veiligheidsinrichtingen
6.7.2.8 Drukontlastingsinrichtingen
6.7.2.9 Instelling van drukontlastingsinrichtingen
6.7.2.10 Smeltveiligheden
6.7.2.11 Breekplaten
6.7.2.12 Capaciteit van drukontlastingsinrichtingen
6.7.2.13 Kenmerking van drukontlastingsinrichtingen
6.7.2.14 Aansluitingen naar drukontlastingsinrichtingen
6.7.2.15 Plaatsing van drukontlastingsinrichtingen
6.7.2.16 Peilinrichtingen
6.7.2.17 Steunen voor transporttanks, raamwerken, hijs- en bevestigingsinrichtingen
6.7.2.18 Goedkeuring van het ontwerp
6.7.2.19 Onderzoek en beproeving
6.7.2.20 Kenmerking
6.7.3 Voorschriften voor het ontwerp, de constructie, het onderzoek en de beproeving van transporttanks, bestemd voor het vervoer van niet sterk gekoelde, vloeibaar gemaakte gassen
6.7.3.1 Definities
6.7.3.2 Algemene voorschriften voor ontwerp en constructie
6.7.3.3 Ontwerpcriteria
6.7.3.4 Minimale wanddikte van het reservoir
6.7.3.5 Bedrijfsuitrusting
6.7.3.6 Openingen aan de onderzijde
6.7.3.7 Drukontlastingsinrichtingen
6.7.3.8 Capaciteit van ontlastingsinrichtingen
6.7.3.9 Kenmerking van drukontlastingsinrichtingen
6.7.3.10 Aansluitingen naar drukontlastingsinrichtingen
6.7.3.11 Plaatsing van drukontlastingsinrichtingen
6.7.3.12 Peilinrichtingen
6.7.3.13 Steunen, raamwerken, hijs- en bevestigingsinrichtingen voor transporttanks
6.7.3.14 Goedkeuring van het ontwerp
6.7.3.15 Onderzoek en beproeving
6.7.3.16 Kenmerking
6.7.4 Voorschriften voor het ontwerp, de constructie, het onderzoek en de beproeving van transporttanks, bestemd voor het vervoer van sterk gekoelde, vloeibaar gemaakte gassen van klasse 2
6.7.4.1 Definities
6.7.4.2 Algemene voorschriften voor ontwerp en constructie
6.7.4.3 Ontwerpcriteria
6.7.4.4 Minimale wanddikte van het reservoir
6.7.4.5 Bedrijfsuitrusting
6.7.4.6 Drukontlastingsinrichtingen
6.7.4.7 Capaciteit en instelling van drukontlastingsinrichtingen
6.7.4.8 Kenmerking van drukontlastingsinrichtingen
6.7.4.9 Aansluitingen naar drukontlastingsinrichtingen
6.7.4.10 Plaatsing van drukontlastingsinrichtingen
6.7.4.11 Peilinrichtingen
6.7.4.12 Steunen voor transporttanks, raamwerken, hijs- en bevestigingsinrichtingen.
6.7.4.13 Goedkeuring van het ontwerp
6.7.4.14 Onderzoek en beproeving
6.7.4.15 Kenmerking
6.7.5 Voorschriften voor het ontwerp, de constructie, het onderzoek en de beproeving van UN-gascontainers met verscheidene elementen (MEGC's), bestemd voor het vervoer van niet sterk gekoelde gassen.
6.7.5.1 Definities
6.7.5.2 Algemene ontwerp- en constructievoorschriften
6.7.5.3 Bedrijfsuitrusting
6.7.5.4 Drukontlastingsinrichtingen
6.7.5.5 Capaciteit van drukontlastingsinrichtingen
6.7.5.6 Kenmerking van drukontlastingsinrichtingen
6.7.5.7 Aansluitingen naar drukontlastingsinrichtingen
6.7.5.8 Plaatsing van drukontlastingsinrichtingen
6.7.5.9 Peilinrichtingen
6.7.5.10 Steunen, raamwerken, hijs- en bevestigingsinrichtingen voor MEGC's
6.7.5.11 Goedkeuring van het ontwerp
6.7.5.12 Onderzoek en beproeving
6.7.5.13 Kenmerking
     
Hoofdstuk 8    
6.8 Voorschriften voor de constructie, uitrusting, typegoedkeuring, het onderzoek en de beproeving en de kenmerking van vaste tanks (tankwagens), afneembare tanks en tankcontainers en wissellaadtanks, met reservoirs van metaal, en batterijwagens en gascontainers met verscheidene elementen (MEGC's)
6.8.1 Toepassingsgebied
6.8.2 Voorschriften van toepassing op alle klassen
6.8.2.1 Constructie,Basisprincipes, Materialen van de reservoirs,Minimale wanddikte van het reservoir, Het lassen en het onderzoek van de lasverbindingen
6.8.2.2 Uitrustingsdelen
6.8.2.3 Typegoedkeuring
6.8.2.4 Onderzoek en beproevingen
6.8.2.5 Kenmerking
6.8.2.6 Voorschriften voor tanks die volgens normen waarnaar wordt verwezen, zijn ontworpen, geconstrueerd en beproefd
6.8.2.6.2 Onderzoek en beproeving
6.8.2.7 Voorschriften voor tanks die niet volgens normen waarnaar verwezen wordt, zijn ontworpen, geconstrueerd en beproefd
6.8.3 Bijzondere voorschriften van toepassing op klasse 2
6.8.3.1 Constructie van reservoirs, Constructie van batterijwagens en MEGC's
6.8.3.2 Uitrustingsdelen, Warmte-isolerende beschermingen, Uitrustingsdelen voor batterijwagens en MEGC's
6.8.3.3 Typegoedkeuring
6.8.3.4 Onderzoek en beproevingen, Onderzoek en beproevingen van batterijwagens en MEGC's
6.8.3.5 Kenmerking, Kenmerking van batterijwagens en MEGC's
6.8.3.6 Voorschriften voor batterijwagens en MEGC’s die worden ontworpen, geconstrueerd en beproefd overeenkomstig normen waarnaar wordt verwezen
6.8.3.7 Voorschriften voor batterijwagens en MEGC's die niet volgens normen waarnaar wordt verwezen zijn ontworpen, geconstrueerd en beproefd
6.8.4 Bijzondere bepalingen
6.8.5 Voorschriften betreffende de materialen en constructie van vaste gelaste tanks, afneembare gelaste tanks en gelaste reservoirs van tankcontainers waarvoor een beproevingsdruk van ten minste 1 MPa (10 bar) is voorgeschreven en van vaste gelaste tanks, afneembare gelaste tanks en gelaste reservoirs van tankcontainers bestemd voor het vervoer van sterk gekoelde, vloeibaar gemaakte gassen van klasse 2
6.8.5.1 Materialen en reservoirs
6.8.5.2 Beproevingsvoorschriften
6.8.5.2.1 Stalen reservoirs
6.8.5.2.2 Reservoirs van aluminium of van aluminiumlegeringen
6.8.5.2.3 Reservoirs van koper of koperlegeringen
6.8.5.3 Kerfslagproeven
6.8.5.4 Verwijzing naar normen
     
Hoofdstuk 9    
6.9 Voorschriften voor het ontwerp, de constructie, uitrusting, typegoedkeuring, beproeving en kenmerking van vaste tanks (tankwagens), afneembare tanks, tankcontainers en wissellaadtanks van vezelgewapende kunststof
6.9.1 Algemeen
6.9.2 Constructie
6.9.2.3 Grondstoffen
6.9.2.3.2 Harsen
6.9.2.3.3 Versterkingsvezels
6.9.2.3.4 Materiaal voor thermoplastische bekleding
6.9.2.3.5 Additieven
6.9.2.14 Bijzondere voorschriften voor het vervoer van stoffen met een vlampunt ten hoogste 60 oC
6.9.3 Uitrustingsdelen
6.9.4 Typekeuring en typegoedkeuring
6.9.4.2 Materiaalbeproeving
6.9.4.3 Typekeuring
6.9.4.4 Typegoedkeuring
6.9.5 Inspecties
6.9.6 Kenmerking
     
Hoofdstuk 10    
6.10 Voorschriften voor de constructie, de uitrusting, de typegoedkeuring, het onderzoek en de kenmerking van druk/vacuümtanks (voor afvalstoffen)
6.10.1 Algemeen
6.10.1.1 Definitie
6.10.1.2 Toepassingsgebied
6.10.2 Constructie
6.10.3 Uitrustingsdelen
     
Hoofdstuk 11    
6.11 Voorschriften voor het ontwerp, de constructie, het onderzoek en de beproeving van bulkcontainers
6.11.2 Toepassing en algemene voorschriften
6.11.2.3 Code voor het aanduiden van typen bulkcontainers
6.11.3 Voorschriften voor het ontwerp, de constructie, het onderzoek en de beproeving van BK1- of BK2-containers die voldoen aan de CSC en die als bulkcontainers gebruikt worden
6.11.3.1 Ontwerp- en constructievoorschriften
6.11.3.2 Bedrijfsuitrusting
6.11.3.3 Onderzoek en beproeving
6.11.3.4 Kenmerking
6.11.4 Voorschriften voor het ontwerp, de constructie en de goedkeuring van BK1- en BK2-bulkcontainers met uitzondering van containers die voldoen aan de CSC
6.11.5 Voorschriften voor het ontwerp, de constructie, het onderzoek en de beproeving van flexibele bulkcontainers (BK3)
6.11.5.1 Voorschriften voor ontwerp en constructie
6.11.5.2 Bedrijfsuitrusting en voorzieningen voor de behandeling
6.11.5.3 Onderzoek en beproeving
6.11.5.4 Beproevingsrapport
6.11.5.5 Kenmerking
     
Hoofdstuk 12    
6.12 Voorschriften voor de constructie, uitrusting, typegoedkeuring, onderzoeken en beproevingen en kenmerking van tanks, bulkcontainers en speciale compartimenten voor ontplofbare stoffen of voorwerpen van mobiele eenheden voor de fabricage van ontplofbare stoffen of voorwerpen (MEMU's)
6.12.1 Toepassingsgebied
6.12.2 Algemene bepalingen
6.12.3 Tanks
6.12.3.1 Tanks met een inhoud van 1000 liter of meer
6.12.3.2 Tanks met een inhoud van minder dan 1000 liter
6.12.4 Uitrustingsdelen
6.12.5 Speciale compartimenten voor ontplofbare stoffen en voorwerpen
     
Hoofdstuk 13    
6.13.1 Algemeen
6.13.2 Constructie
6.13.3 Uiitrustingsdelen
6.13.4 Typekeuring & Typegoedkeuring
6.13.5 Inspecties
6.13.6 Kenmerking
DEEL 7 - Voorschriften inzake het vervoer, het laden, lossen en de behandeling
Hoofdstuk 1    
7.1 Algemene voorschriften en bijzondere bepalingen voor temperatuurbeheersing
     
Hoofdstuk 2    
7.2 Voorschriften inzake het vervoer in colli
     
Hoofdstuk 3    
7.3 Voorschriften inzake het vervoer als los gestort goed
7.3.1 Algemene voorschriften
7.3.2 Voorschriften voor het vervoer als los gestort goed indien de voorschriften van 7.3.1.1 a) worden toegepast.
7.3.2.3 Goederen van klasse 4.2
7.3.2.4 Goederen van klasse 4.3
7.3.2.5 Goederen van klasse 5.1
7.3.2.6 Goederen van klasse 6.2
7.3.2.6.2 Afvalstoffen van klasse 6.2 (UN 3291)
7.3.2.7 Stoffen van klasse 7
7.3.2.8 Goederen van klasse 8
7.3.2.9 Goederen van klasse 9
7.3.2.10 Gebruik van flexibele bulkcontainers
7.3.3 Bijzondere bepalingen voor het vervoer als los gestort goed indien de voorschriften van 7.3.1.1 b) worden toegepast
     
Hoofdstuk 4    
7.4 Voorschriften inzake vervoer in tanks
     
Hoofdstuk 5    
7.5 Voorschriften inzake het laden, lossen en de behandeling
7.5.1 Algemene voorschriften inzake het laden, lossen en de behandeling
7.5.2 Samenladingsverboden
7.5.4 Voorzorgsmaatregelen met betrekking tot levens- en genotsmiddelen en voer voor dieren
7.5.5 Beperking van de vervoerde hoeveelheden
7.5.5.2 Beperkingen met betrekking tot ontplofbare stoffen en voorwerpen
7.5.5.2.1 Te vervoeren stoffen en hoeveelheden
7.5.5.2.3 Vervoer van ontplofbare stoffen en voorwerpen op MEMU's
7.5.7 Behandeling en stuwage
7.5.7.6 Laden van flexibele bulkcontainers
7.5.8 Reiniging na het lossen
7.5.9 Rookverbod
7.5.10 Voorzorgsmaatregelen tegen elektrostatische ladingen
7.5.11 Aanvullende voorschriften voor bepaalde klassen of specifieke goederen
     
Bijlage B   Bepalingen betreffende de vervoermiddelen en het vervoer
DEEL 8 - Voorschriften voor de bemanning, uitrusting en exploitatie van het voertuig en documentatie
Hoofdstuk 1    
8.1 Algemene voorschriften inzake transporteenheden en boorduitrusting
8.1.1 Transporteenheden
8.1.2 Aan boord van de transporteenheid mee te voeren documenten
8.1.3 Het aanbrengen van grote etiketten en kenmerking
8.1.4 Brandbestrijdingsuitrusting
8.1.5 Uitrusting van uiteenlopende aard en uitrusting voor persoonlijke bescherming
     
Hoofdstuk 2    
8.2 Voorschriften inzake de opleiding van de bemanning van het voertuig
8.2.1 Toepassing en algemene voorschriften inzake de opleiding van bestuurders
8.2.2 Bijzondere voorschriften inzake de opleiding van bestuurders
8.2.2.3 Structuur van de opleiding
8.2.2.4 Programma voor de aanvangscursus
8.2.2.5 Programma voor de herhalingsopleiding
8.2.2.6 Goedkeuring van de opleiding
8.2.2.7 Examens
8.2.2.7.1 Examens voor de basisopleidingscursus
8.2.2.7.2 Examens voor de specialisatieopleidingscursussen voor het vervoer in tanks of voor het vervoer van stoffen en voorwerpen van klasse 1 of radioactieve stoffen van klasse 7
8.2.2.8 Het vakbekwaamheidscertificaat van de bestuurder
8.2.2.8.5 Model van het opleidingscertificaat voor bestuurders van voertuigen die gevaarlijke goederen vervoeren
8.2.3 De opleiding van personen - met uitzondering van bestuurders die in het bezit zijn van een certificaat volgens 8.2.1 - die bij het vervoer van gevaarlijke goederen over de weg betrokken zijn
     
Hoofdstuk 3    
8.3 Diverse voorschriften waaraan de bemanning van het voertuig moet voldoen
8.3.1 Passagiers
8.3.2 Het gebruik van brandblusapparaten
8.3.3 Verbod op het openen van colli
8.3.4 Draagbare verlichtingsapparaten
8.3.5 Rookverbod
8.3.6 Het laten draaien van de motor tijdens laden of lossen
8.3.7 Gebruik van de parkeerrem en de stopblokken
8.3.8 Gebruik betrokken zijn
     
Hoofdstuk 4    
8.4 Voorschriften betreffende het toezicht op voertuigen
     
Hoofdstuk 5    
8.5 Aanvullende voorschriften met betrekking tot specifieke klassen of goederen
     
Hoofdstuk 6    
8.6 Beperkingen voor de doorgang door tunnels voor het wegverkeer van voertuigen die gevaarlijke goederen vervoeren
8.6.1 Algemene bepalingen
8.6.2 Verkeerstekens en symbolen voor het wegverkeer, van toepassing op de doorgang van voertuigen die gevaarlijke goederen vervoeren.
8.6.3 Codes voor beperkingen in tunnels
8.6.4 Beperkingen voor de doorgang van transporteenheden die gevaarlijke goederen vervoeren door tunnels
     
DEEL 9 - Voorschriften inzake de constructie en goedkeuring van voertuigen
Hoofdstuk 1    
9.1 Toepassingsgebied, definities en voorschriften voor de goedkeuring van voertuigen
9.1.1 Toepassingsgebied en definities
9.1.1.1 Toepassingsgebied
9.1.1.2 Definities
9.1.2 Goedkeuring van EX/II-, EX/III-, FL - en AT-voertuigen en MEMU’s
9.1.2.1 Algemeen
9.1.2.2 Voorschriften voor voertuigen met typegoedkeuring
9.1.2.3 Jaarlijks technisch onderzoek
9.1.3 Certificaat van goedkeuring
9.1.3.5 Model voor het certificaat van goedkeuring voor voertuigen die bepaalde gevaarlijke goederen vervoeren
     
Hoofdstuk 2    
9.2 Voorschriften inzake de constructie van voertuigen
9.2.1 Overeenstemming met de voorschriften van dit hoofdstuk
9.2.2 Elektrische uitrusting
9.2.2.1 Algemene voorschriften
9.2.2.2 Bedrading
9.2.2.3 Zekeringen en stroomonderbrekers
9.2.2.4 Accu's
9.2.2.5 Verlichting
9.2.2.6 Elektrische verbindingen tussen motorvoertuigen en aanhangwagens
9.2.2.7 Spanning
9.2.2.8 Hoofdschakelaar voor de accu
9.2.2.9 Stroomkringen met permanente voeding
9.2.3 Reminrichting
9.2.3.1 Algemene voorschriften
9.2.4 Voorkomen van brandgevaar
9.2.4.1 Algemene voorschriften
9.2.4.3 Brandstoftanks
9.2.4.5 Uitlaatsysteem
9.2.4.6 Duurremsysteem
9.2.4.7 Verwarmingssystemen op brandstof
9.2.5 Snelheidsbegrenzer
9.2.6 Koppelingen van motorvoertuigen en aanhangwagens
9.2.7 Voorkomen van andere risico's veroorzaakt door brandstoffen
     
Hoofdstuk 3    
9.3 Aanvullende voorschriften inzake complete of afgebouwde EX/II- of EX/III-voertuigen, bestemd voor het vervoer van ontplofbare stoffen en voorwerpen (klasse 1) in colli
9.3.1 Te gebruiken materialen voor de constructie van voertuigopbouwen
9.3.2 Verwarmingssystemen op brandstof
9.3.3 EX/II-voertuigen
9.3.4 EX/III-voertuigen
9.3.5 Motor en laadcompartiment
9.3.6 Uitwendige warmtebronnen en de laadruimte
9.3.7 Elektrische uitrusting
     
Hoofdstuk 4    
9.4 Aanvullende voorschriften inzake de constructie van de opbouwen van complete of afgebouwde voertuigen, bestemd voor het vervoer van gevaarlijke goederen in colli (met uitzondering van EX/II- en EX/III-voertuigen)
     
Hoofdstuk 5    
9.5 Aanvullende voorschriften inzake de constructie van de opbouwen van complete of afgebouwde voertuigen, bestemd voor het vervoer van gevaarlijke vaste stoffen als losgestort goed
     
Hoofdstuk 6    
9.6 Aanvullende voorschriften inzake complete of afgebouwde voertuigen, bestemd voor het vervoer van stoffen onder temperatuurbeheersing
     
Hoofdstuk 7    
9.7 Aanvullende voorschriften inzake tankwagens (vaste tanks) batterijwagens en complete of afgebouwde voertuigen, die worden gebruikt voor het vervoer van gevaarlijke goederen in afneembare tanks met een inhoud groter dan 1 m3 of in tankcontainers, transporttanks of MEGC’s met een inhoud groter dan 3 m3 (EX/III-, FL- en AT-voertuigen)
9.7.1 Algemene voorschriften
9.7.2 Voorschriften inzake tanks
9.7.3 Bevestiging
9.7.4 Equipotentiaalverbinding van FL-voertuigen
9.7.5 Stabiliteit van tankwagens
9.7.6 Bescherming aan de achterzijde van voertuigen
9.7.7 Verwarmingssystemen op brandstof
9.7.8 Elektrische uitrusting
9.7.9 Aanvullende veiligheidsvoorschriften betreffende EX/III-voertuigen
     
Hoofdstuk 8    
9.8 Aanvullende voorschriften inzake complete en afgebouwde MEMU’s
9.8.1 Algemene bepalingen
9.8.2 Voorschriften inzake tanks en bulkcontainers
9.8.3 Equipotentiaalverbinding van MEMU's
9.8.4 Stabiliteit van MEMU's
9.8.5 Bescherming aan de achterzijde van MEMU's
9.8.6 Verwarmingssystemen op brandstof
9.8.7 Aanvullende veiligheidsvoorschriften
9.8.8 Aanvullende beveiligingsvoorschriften
     

HOOFDSTUK 2.2.9
BIJZONDERE VOORSCHRIFTEN VOOR DE AFZONDERLIJKE KLASSEN

KLASSE 9 - DIVERSE GEVAARLIJKE STOFFEN EN VOORWERPEN

2.2.9.1
25

Criteria

2.2.9.1.1

De titel van klasse 9 omvat stoffen en voorwerpen die tijdens het vervoer een gevaar opleveren, dat niet onder de omschrijvingen van andere klassen valt.

 

2.2.9.1.2

De stoffen en voorwerpen van klasse 9 zijn als volgt onderverdeeld:

M1 Stoffen die bij inademing als fijn stof de gezondheid in gevaar kunnen brengen;
M2 Stoffen en voorwerpen, die in geval van brand dioxines kunnen doen ontstaan;
M3 Stoffen die brandbare dampen ontwikkelen;
M4 Lithiumbatterijen en natrium-ion batterijen
M5 Reddingsmiddelen;
M6-M8 Milieugevaarlijke stoffen;
    M6 Stoffen die het aquatisch milieu verontreinigen, vloeibaar;
    M7 Stoffen die het aquatisch milieu verontreinigen, vast;
    M8 Genetisch gemodificeerde micro-organismen en organismen;
M9-M10 Verwarmde stoffen
    M9 vloeibaar;
    M10 vast;
M11 Andere stoffen en voorwerpen, die tijdens het vervoer een gevaar vertonen, maar die niet onder de definitie van een andere klasse vallen.

 

2.2.9.1.3

Definities en classificatie
De in klasse 9 ingedeelde stoffen en voorwerpen zijn genoemd in tabel A van hoofdstuk 3.2.

De indeling van stoffen en voorwerpen die niet met name genoemd zijn in tabel A van hoofdstuk 3.2 onder de juiste positie van die tabel of van subsectie 2.2.9.3 moet geschieden in overeenstemming met de hierna volgende subsecties 2.2.9.1.4 t/m 2.2.9.1.8, 2.2.9.1.10, 2.2.9.1.11 en 2.2.9.1.14.

 

2.2.9.1.4

Stoffen die bij inademing van fijn stof de gezondheid in gevaar kunnen brengen
Stoffen die bij inademing van fijn stof de gezondheid in gevaar kunnen brengen, omvatten asbest alsmede asbesthoudende mengsels.

 

2.2.9.1.5

Stoffen en voorwerpen, die in geval van brand dioxines kunnen doen ontstaan
Stoffen en voorwerpen, waarbij in geval van brand dioxines kunnen ontstaan, omvatten polychloorbifenylen en polychloorterfenylen (PCB's en PCT's) en polyhalogeenbifenylen en polyhalogeenterfenylen en mengsels die deze stoffen bevatten, alsmede voorwerpen, zoals transformatoren, condensatoren en andere voorwerpen, die zulke stoffen of mengsels bevatten.

Opmerking: Mengsels met een gehalte aan PCB of PCT van niet meer dan 50 mg/kg zijn niet onderworpen aan de voorschriften van het ADR.

2.2.9.1.6

Stoffen die brandbare dampen ontwikkelen
Stoffen die brandbare dampen ontwikkelen, omvatten polymeren die brandbare vloeistoffen met een vlampunt van ten hoogste 55 oC bevatten.

 

2.2.9.1.7

Lithiumbatterijen en natrium-ionbatterijen

 

2.2.9.1.7.1

Lithiumbatterijen
Lithiumbatterijen moeten aan de volgende voorschriften voldoen, tenzij het ADR anders bepaalt (bv. voor prototypes van batterijen en kleine productieseries conform bijzondere bepaling 310 of beschadigde batterijen conform bijzondere bepaling 376).

Opmerking: Voor LITHIUMBATTERIJEN GEPLAATST IN EEN LAADEENHEID (UN 3536), zie bijzondere bepaling 389 in hoofdstuk 3.3.

Cellen en batterijen, cellen en batterijen in apparatuur en cellen en batterijen verpakt met apparatuur die lithium in een willekeurige vorm bevatten, moeten naar gelang van het geval worden ingedeeld onder UN-nummer. 3090, 3091, 3480 of 3481.

Zij mogen, ingedeeld in deze positie, worden vervoerd indien aan de volgende voorschriften wordt voldaan:

  1. Elke cel of batterij is van het type waarvan is aangetoond dat het voldoet aan de eisen van elke beproeving uit het Handboek beproevingen en criteria, deel III, subsectie 38.3;
    Opmerking: Batterijen moeten van een ontwerptype zijn waarvan is aangetoond dat het voldoet aan de beproevingsvereisten van het Handboek beproevingen en criteria, deel III, subsectie 38.3, ongeacht of de cellen waaruit zij bestaan van een beproefd type zijn.
  2. Elke cel en elke batterij moet zijn voorzien van een veiligheidsinrichting voor de ontluchting of moet zodanig ontworpen zijn dat zij onder normale vervoersomstandigheden niet met geweld kan bezwijken;
  3. Elke cel en elke batterij moet zijn voorzien van een doeltreffend middel ter voorkoming van uitwendige kortsluitingen;
  4. Elke batterij die cellen of series van parellel geschakelde cellen bevat, moet zo nodig worden voorzien van doeltreffende middelen (bijv. dioden of smeltveiligheden) ter voorkoming van een gevaarlijke retourstroom;
  5. Cellen en batterijen moeten worden vervaardigd onder een kwaliteitsbeheerprogramma dat het volgende omvat:
    1. Een beschrijving van de organisatiestructuur en medewerkersverantwoordelijkheden wat betreft ontwerp en productkwaliteit;
    2. De betreffende instructies voor onderzoek en beproeving, kwaliteitscontrole, kwaliteitsborging en bedrijfsprocessen waarvan gebruik zal worden gemaakt;
    3. Procescontroles, met onder meer relevante verrichtingen bedoeld om interne kortsluiting tijdens de vervaardiging van cellen te voorkomen en vast te stellen;
    4. Kwaliteitsdossiers, zoals onderzoeksrapporten, beproevingsgegevens, kalibratiegegevens en certificaten; de beproevingsgegevens moeten worden bewaard en op verzoek aan de bevoegde autoriteit ter beschikking worden gesteld;
    5. Beoordelingen door de bedrijfsleiding ter waarborging van het doeltreffend functioneren van het kwaliteitsbeheersysteem;
    6. Een proces voor de controle van documenten en de revisie daarvan;
    7. Een middel voor het controleren van cellen of batterijen die niet met het in a) hierboven bedoelde beproefde type overeenkomen;
    8. Opleidingsprogramma's en kwalificatieprocedures voor het betreffende personeel; en
    9. Procedures om beschadiging van het eindproduct uit te sluiten.
  6. Lithiumbatterijen met zowel primaire cellen van metallisch lithium als oplaadbare lithium-ion-cellen niet ontworpen voor externe oplading (zie bijzondere bepaling 387 van hoofdstuk 3.3), moeten aan de volgende eisen voldoen:
    1. De oplaadbare lithium-ion-ellen kunnen alleen worden opgeladen via de primaire cellen van metallisch lithium;
    2. Het ontwerp van de lithium-ion-ellen voorkomt dat de cellen worden overladen;
    3. De batterij is beproefd als primaire lithiumbatterij;
    4. De cellen van de batterij zijn van het type waarvan is aangetoond dat ze voldoen aan de respectieve beproevingseisen van het Handboek beproevingen en criteria, deel III, subsectie 38.3.
  7. Behalve voor knoopcel batterijen ingebouwd in apparatuur (met inbegrip van printplaten), fabrikanten en aansluitende distributeurs van na 30 juni 2003 vervaardigde cellen of batterijen moeten de samenvatting van de beproeving als bedoeld in deel III, subsectie 38.3, paragraaf 38.3.5 van het Handboek beproevingen en criteria, ter beschikking stellen.

Opmerking: Onder de term “ter beschikking stellen” moet worden verstaan dat fabrikanten en aansluitende distributeurs ervoor zorgen dat de samenvatting van de beproeving toegankelijk is, zodat de verzender of andere personen in de toeleveringsketen kunnen bevestigen dat aan de eisen is voldaan.

Opmerking: Interne kwaliteitsbeheerprogramma's mogen worden toegestaan. Certificering door een derde is niet vereist, maar de onder (i) t/m (ix) hierboven vermelde procedures moeten naar behoren gedocumenteerd en verifieerbaar zijn. Een beschrijving van het kwaliteitsbeheerprogramma moet desgevraagd aan de bevoegde autoriteit worden overgelegd.

2.2.9.1.7.2

Natrium-ionbatterijen

Cellen en batterijen, cellen en batterijen in apparatuur, of cellen en batterijen verpakt met apparatuur die natriumion bevat, vormen een oplaadbaar elektrochemisch systeem waarbij de positieve en negatieve elektrode intercalatie- of insertieverbindingen zijn. Ze worden vervaardigd zonder metallisch natrium (of natriumlegering) in een van beide elektroden en met een organische niet-waterige verbinding als elektrolyt. Deze batterijen worden toegewezen aan UN-nummers 3551 of 3552, indien van toepassing.

LET OP: Geïntegreerd natrium bestaat in ionische of quasi-atomische vorm in het rooster van het elektrode-materiaal.

Ze mogen onder deze classificaties worden vervoerd als aan de volgende voorwaarden wordt voldaan:

  1. Elke cel of batterij moet van een type zijn dat voldoet aan de vereisten van de toepasselijke tests uit het Manual of Tests and Criteria, deel III, subsectie 38.3;

    LET OP: Batterijen moeten van een type zijn dat voldoet aan de testvereisten van het Manual of Tests and Criteria, deel III, subsectie 38.3, ongeacht of de cellen waaruit ze bestaan al zijn getest.

  2. Elke cel en batterij moet een veiligheidsventiel bevatten of zo zijn ontworpen dat een gewelddadige breuk onder normale vervoersomstandigheden wordt voorkomen.
  3. Elke cel en batterij moet zijn uitgerust met een effectief middel om externe kortsluiting te voorkomen.
  4. Elke batterij met cellen of een reeks parallel geschakelde cellen moet zijn uitgerust met doeltreffende middelen om gevaarlijke omgekeerde stroom te voorkomen (bijvoorbeeld diodes, zekeringen, etc.).
  5. Cellen en batterijen moeten worden geproduceerd onder een kwaliteitsmanagementprogramma zoals voorgeschreven in 2.2.9.1.7.1 (e) (i) tot (ix).
  6. Fabrikanten en verdere distributeurs van cellen of batterijen moeten de testsamenvatting beschikbaar stellen zoals gespecificeerd in het Manual of Tests and Criteria, deel III, subsectie 38.3, paragraaf 38.3.5.

    Opmerking: Onder de term “ter beschikking stellen” moet worden verstaan dat fabrikanten en aansluitende distributeurs ervoor zorgen dat de samenvatting van de beproeving toegankelijk is, zodat de verzender of andere personen in de toeleveringsketen kunnen bevestigen dat aan de eisen is voldaan.

Natrium-ion batterijen zijn niet onderworpen aan de voorschriften van ADR als zij voldoen aan de voorschriften van bijzondere bepalingen 188 of 400 van hoofdstuk 3.3.

 

2.2.9.1.8

Reddingsmiddelen
Reddingsmiddelen omvatten reddingsmiddelen en onderdelen van automobielen die voldoen aan de definities van de bijzondere bepalingen 235 of 296 van hoofdstuk 3.3.

 

2.2.9.1.9

Milieugevaarlijke stoffen
Geschrapt

 

2.2.9.1.10

Verontreinigende stoffen voor het aquatisch milieu: Milieugevaarlijke stoffen (aquatisch milieu)

2.2.9.1.10.1

Algemene definities

2.2.9.1.10.1.1

Milieugevaarlijke stoffen omvatten onder andere vloeibare of vaste stoffen, die verontreinigend zijn voor het aquatisch milieu, alsmede oplossingen en mengsels van dergelijke stoffen (zoals preparaten en afvalstoffen).

In de zin van 2.2.9.1.10 betekent "stof" chemische elementen en verbindingen daarvan in natuurlijke toestand of verkregen door productieprocessen, met inbegrip van additieven, noodzakelijk om de stabiliteit van het product te behouden en verontreinigingen, afkomstig uit het gebruikte proces, maar met uitzondering van oplosmiddelen, die afgescheiden kunnen worden zonder de stabiliteit van de stof te beïnvloeden of de samenstelling te veranderen.

 

2.2.9.1.10.1.2

Het aquatisch milieu kan worden beschouwd in de zin van aquatische organismen die in het water leven, en het aquatische ecosysteem waarvan zij deel uitmaken9. Derhalve is de basis voor het identificeren van het gevaar de aquatische toxiciteit van de stof of het mengsel, alhoewel deze kan worden gemodificeerd op grond van nadere informatie over het degradatie- en bioaccumulatiegedrag.

9 Dit betreft niet waterverontreinigende stoffen waarvoor het nodig kan zijn om effecten te beschouwen die verder gaan dan het aquatisch milieu, zoals de beïnvloeding van de menselijke gezondheid, etc.

2.2.9.1.10.1.3

Terwijl de hierna volgende classificatieprocedure bedoeld is van toepassing te zijn op alle stoffen en mengsels, wordt erkend dat in sommige gevallen, bijv. voor metalen of slecht oplosbare anorganische verbindingen, een speciale leidraad nodig zal zijn10

10 Deze is te vinden in bijlage 10 van het GHS.

2.2.9.1.10.1.4

De volgende definities zijn van toepassing voor acroniemen of termen gebruikt in deze sectie:

  • BCF: bioconcentratiefactor;
  • BOD: biochemisch zuurstofverbruik;
  • COD: chemisch zuurstofverbruik;
  • GLP: goede laboratoriumpraktijk
  • ECx: de concentratie verbonden met x% van de reactie;
  • EC50: de effectieve concentratie van de stof die 50% van de maximale reactie veroorzaakt;
  • ErC50: EC50 in de zin van reductie van groei;
  • Kow: verdelingscoëfficient octanol/water;
  • LC50 (letale concentratie voor 50%): de concentratie van een stof in water, die leidt tot de dood van 50% (de helft) in een groep van proefdieren;
  • L(E)C50 : LC50 of EC50;
  • NOEC: (Concentratie waarbij geen effect wordt waargenomen): de beproevingsconcentratie onmiddellijk onder de laagste beproefde concentratie met statistisch significant negatief gevolg. De NOEC heeft geen statistisch negatief gevolg vergeleken met de controle;
  • OESO Beproevingsrichtlijnen (“Test Guidelines”): beproevingsrichtlijnen gepubliceerd door de Organisatie voor Economische Samenwerking en Ontwikkeling (OESO).

 

2.2.9.1.10.2

Definities en eisen aan de gegevens

2.2.9.1.10.2.1

De basiselementen voor de classificatie van milieugevaarlijke stoffen (aquatisch milieu) zijn:

  1. Acute aquatische toxiciteit;
  2. Chronische aquatische toxiciteit;
  3. Vermogen tot of werkelijke bioaccumulatie; en
  4. Afbraak (biotisch of abiotisch) van organische chemicaliën.

 

2.2.9.1.10.2.2

Hoewel de voorkeur wordt gegeven aan gegevens van internationaal geharmoniseerde beproevingsmethoden, mogen in de praktijk ook gegevens van nationale methoden worden gebruik, voor zover zij geacht worden gelijkwaardig te zijn.

In het algemeen is overeengekomen dat gegevens over de giftigheid voor zoetwater- en zeewatersoorten als gelijkwaardige gegevens kunnen worden beschouwd en dat zij bij voorkeur moeten worden afgeleid door gebruik te maken van Beproevingsrichtlijnen van de OESO of van gelijkwaardige beproevingsmethoden overeenkomstig de principes van goede laboratoriumpraktijk (GLP).

Indien dergelijke gegevens niet beschikbaar zijn, moet de classificatie worden gebaseerd op de beste beschikbare gegevens.

 

2.2.9.1.10.2.3

Acute aquatische toxiciteit: de intrinsieke eigenschap van een stof om schadelijk te zijn voor een organisme bij een kortstondige blootstelling aan die stof.

Acuut gevaar (op korte termijn) voor doeleinden van classificatie: het gevaar van een chemisch product veroorzaakt door de acute toxiciteit daarvan voor een organisme gedurende een kortstondige aquatische blootstelling aan dat chemische product.

De acute aquatische toxiciteit moet normalerwijze worden bepaald door gebruik te maken van de 96-uurs LC50 voor vissen (Beproevingsrichtlijn 203 van de OESO of een equivalent), een 48-uurs EC50 voor een soort schaaldier (Beproevingsrichtlijn 202 van de OESO of een equivalent) en/of een 72- of 96-uurs EC voor een soort algen (Beproevingsrichtlijn 201 van de OESO of een equivalent).

Deze soorten worden geacht alle aquatische organismen te kunnen vervangen en gegevens over andere soorten zoals Lemna (eendenkroos) mogen ook worden beschouwd indien de beproevingsmethode geschikt is.

 

2.2.9.1.10.2.4

Chronische aquatische toxiciteit: de intrinsieke eigenschap van een stof om negatieve gevolgen te veroorzaken voor aquatische organismen gedurende aquatische blootstellingen die zijn vastgesteld in verband met de levenscyclus van het organisme.

Gevaar op lange termijn voor doeleinden van classificatie : het gevaar van een chemisch product veroorzaakt door de chronische toxiciteit daarvan als gevolg van een blootstelling op lange termijn in het aquatische milieu.

Er zijn in mindere mate gegevens beschikbaar over chronische toxiciteit dan over acute toxiciteit en de reeks van beproevingsprocedures is minder ver genormaliseerd.

Gegevens verkregen overeenkomstig de Beproevingsrichtlijnen 210 (vissen in vroege levensfase) of 211 (reproductie van de Daphnia) en 201 (afremming van algengroei) van de OESO zijn acceptabel.

Andere erkende en internationaal aanvaarde beproevingen mogen ook worden gebruikt. De NOEC's of andere gelijkwaardige ECx moeten worden gebruikt.

 

2.2.9.1.10.2.5

Bioaccumulatie :  het netto resultaat van opname, transformatie en eliminatie van een stof in een organisme als gevolg van alle soorten blootstelling (d.w.z. lucht, water, bezinksel/bodem en voedsel).

Het bioaccumulatievermogen moet normalerwijze worden bepaald door gebruik te maken van de verdelingscoëfficient octanol/water, gewoonlijk weergegeven als log K ow, bepaald volgens Beproevingsricht-lijn 107, 117 of 123 van de OESO.

Terwijl deze een vermogen tot bioaccumulatie weergeeft, verschaft een experimenteel bepaalde bioconcentratiefactor (BCF) een betere maat en moet indien beschikbaar bij voorkeur worden gebruikt.

Een BCF moet worden bepaald overeenkomstig de Beproevingsrichtlijn 305 van de OESO.

 

2.2.9.1.10.2.6

Afbraak (degradatie): de ontleding van organische moleculen in kleinere moleculen en eventueel in kooldioxide, water en zouten.

Afbraak in het milieu kan biotisch of abiotisch (bijv. hydrolyse) plaatsvinden en de gebruikte criteria geven dit feit weer.

Snelle biologische afbraak wordt het eenvoudigst gedefinieerd met behulp van de beproevingen voor de biologische afbreekbaarheid (A-F) van Beproevingsrichtlijn 301 van de OESO. Een gemiddeld niveau bij deze beproevingen kan worden beschouwd als een aanwijzing van snelle afbraak in de meeste milieus.

Dit zijn beproevingen in zoet water en bijgevolg moet ook rekening worden gehouden met de resultaten van Beproevingsrichtlijn 306 van de OESO, die meer geschikt is voor het mariene milieu.

Indien dergelijke gegevens niet beschikbaar zijn, wordt een verhouding BOD (5 dagen)/COD ≥ 0,5 beschouwd als aanwijzing voor een snelle afbraak.

Abiotische afbraak zoals hydrolyse, primaire afbraak, zowel abiotisch als biotisch, afbraak in niet-aquatische media en bewezen snelle afbraak in het milieu kunnen alle worden beschouwd bij het definiëren van snelle afbreekbaarheid11.

Stoffen worden beschouwd als snel afbreekbaar in het milieu te zijn indien aan de volgende criteria wordt voldaan:

  1. In onderzoeken naar de biologische afbreekbaarheid binnen 28 dagen worden de volgende niveaus van afbraak bereikt:
    1. Beproevingen gebaseerd op opgeloste organische koolstof: 70%;
    2. Beproevingen gebaseerd op zuurstofverbruik of vorming van kooldioxide: 60% van de theoretische maxima;
      Deze niveaus van biologische afbreekbaarheid moeten binnen 10 dagen na het begin van de afbraak worden bereikt; dit beginpunt komt overeen met het tijdstip waarop 10% van de stof is afgebroken, tenzij de stof is geïdentificeerd als een complexe stof met meerdere componenten met bestanddelen die qua structuur gelijksoortig zijn. In dit geval, en indien dit voldoende gegrond is, kan van het interval van 10 dagen worden afgezien en kan het niveau van het doorstaan van de beproeving op 28 dagen12 worden toegepast; of
  2. In die gevallen waarbij alleen gegevens van BOD en COD beschikbaar zijn, indien de verhouding van BOD5 /COD ≥ 0,5 is; of
  3. Indien ander overtuigend wetenschappelijk bewijsmateriaal beschikbaar is om aan te tonen dat de stof (biotisch of abiotisch) kan worden afgebroken in het aquatisch milieu tot een niveau hoger dan 70% in een periode van 28 dagen.

11 Een speciale leidraad voor de interpretatie van gegevens is opgenomen in hoofdstuk 4.1 en bijlage 9 van de GHS.
12 Zie hoofdstuk 4.1 en Aanhangsel 9, paragraaf A9.4.2.2.3 van het GHS.

2.2.9.1.10.3

Categorieën en criteria voor de classificatie van de stoffen

 

2.2.9.1.10.3.1

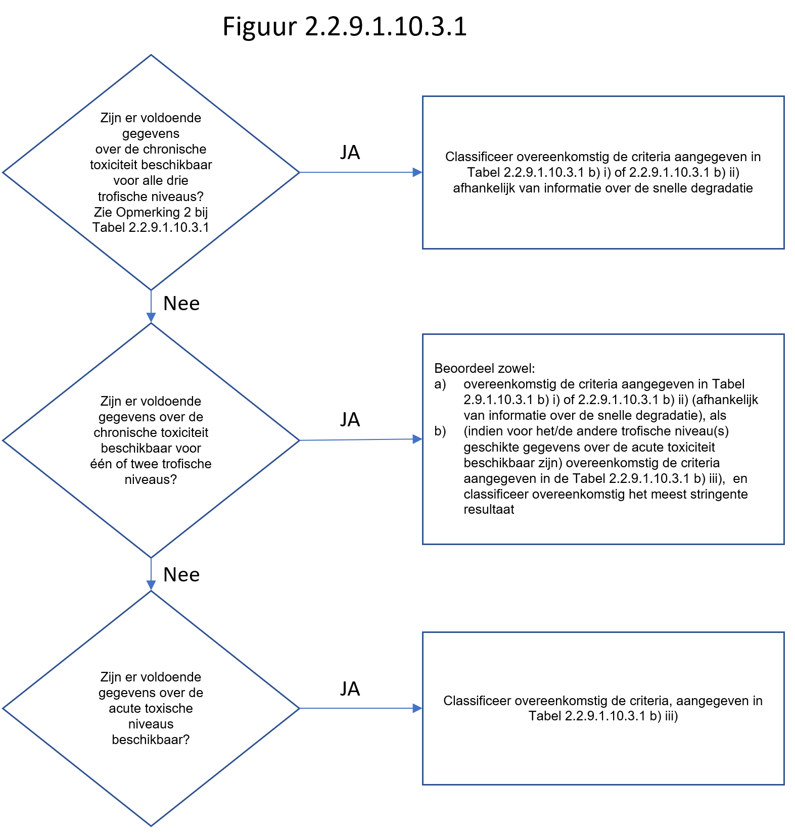
Stoffen moeten worden geclassificeerd als “milieugevaarlijke stoffen (aquatisch milieu)”, indien zij voldoen aan de criteria voor Acuut 1, Chronisch 1 of Chronisch 2, overeenkomstig Tabel 2.2.9.1.10.3.1. Deze criteria beschrijven gedetailleerd de categorieën voor de classificatie. Zij worden in de vorm van een diagram samengevat in Tabel 2.2.9.1.10.3.2.

Tabel 2.2.9.1.10.3.1: Categorieën voor stoffen die gevaarlijk zijn voor het aquatisch milieu (zie Opmerking 1)

 a) Acuut gevaar ( op korte termijn) voor het aquatisch milieu
Categorie Acuut 1: (zie Opmerking 2)
96-uurs LC50 (voor vissen) ≤ 1 mg/l en/of
48-uurs EC50  (voor schaaldieren) ≤ 1 mg/l en/of
72- of 96-uurs ErC50 (voor algen of andere waterplanten) ≤ 1 mg/l (zie Opmerking 3)

 

b) Gevaar voor het aquatisch milieu op lange termijn (zie ook Figuur 2.2.9.1.10.3.1)

  1. Niet snel-afbreekbare stoffen (zie Opmerking 4) waarvoor voldoende gegevens over de chronische toxiciteit beschikbaar zijn
Categorie Chronisch 1: (zie Opmerking 2)
Chronische NOEC of ECx (voor vissen) ≤ 0,1 mg/l en/of
Chronische NOEC of ECx (voor schaaldieren) 0,1 mg/l en/of
Chronische NOEC of ECx (voor algen of andere waterplanten) 0,1 mg/l
Categorie Chronisch 2:
Chronische NOEC of ECx (voor vissen) 1 mg/l en/of
Chronische NOEC of ECx (voor schaaldieren) 1 mg/l en/of
Chronische NOEC of ECx (voor algen of andere waterplanten) 1 mg/l

 

  1. Snel-afbreekbare stoffen waarvoor voldoende gegevens over de chronische toxiciteit beschikbaar zijn
Categorie Chronisch 1: (zie Opmerking 2)
Chronische NOEC of ECx (voor vissen) 0,01 mg/l en/of
Chronische NOEC of ECx (voor schaaldieren) 0,01 mg/l en/of
Chronische NOEC of ECx (voor algen of andere waterplanten) 0,01 mg/l
Categorie Chronisch 2:
Chronische NOEC of ECx (voor vissen) 0,1 mg/l en/of
Chronische NOEC of ECx (voor schaaldieren) 0,1 mg/l en/of
Chronische NOEC of ECx (voor algen of andere waterplanten) 0,1 mg/l

 

  1. Stoffen waarvoor geen geschikte gegevens over de chronische toxiciteit beschikbaar zijn
Categorie Chronisch 1: (zie Opmerkingen 2)
96-uurs LC50 (voor vissen) ≤ 1 mg/l en/of
48-uurs EC50  (voor schaaldieren) ≤ 1 mg/l en/of
72- of 96-uurs ErC50 (voor algen of andere waterplanten) ≤ 1 mg/l (zie Opmerking 3)
en de stof is niet snel afbreekbaar en/of de experimenteel bepaalde BCF is ≥ 500 (of, indien niet beschikbaar de log Kow ³ 4 is) (zie Opmerkingen 4 en 5).
Categorie Chronisch 2:
96-uurs LC50 (voor vissen) >1 maar ≤ 10 mg/l en/of
48-uurs EC50  (voor schaaldieren) >1 maar ≤ 10 mg/l en/of
72- of 96-uurs ErC50 (voor algen of andere waterplanten) >1     maar     ≤     10     mg/l    
(zie Opmerking 3)

en de stof is niet snel afbreekbaar en/of de experimenteel bepaalde BCF is ≥ 500 (of, indien niet beschikbaar de log Kow ≥ 4 is)

(zie Opmerkingen 4 en 5).

 

  • Opmerking 1: De organismen vissen, schaaldieren en algen worden onderzocht als plaatsvervangende soorten die een reeks van trofische niveaus en taxa omvatten, en de beproevingsmethoden zijn in hoge mate genormaliseerd. Gegevens over andere organismen mogen ook in beschouwing worden genomen, onder de voorwaarde dat zij equivalente soorten en omslagpunten van de beproeving weergeven.
  • Opmerking 2: Indien stoffen als Acuut 1 en/of Chronisch 1 worden geclassificeerd, is het noodzakelijk tegelijkertijd een overeenkomstige factor M aan te geven (zie 2.2.9.1.10.4.6.4) om de sommatiemethode toe te passen.
  • Opmerking 3: Indien de toxiciteit voor algen ErC50 [= EC50 (groeisnelheid)] meer dan 100 maal lager wordt dan die van de volgende meest gevoelige soort en de resultaten in een classificatie alleen op dit effect zijn gebaseerd, dan moet worden overwogen of deze toxiciteit representatief is voor de toxiciteit voor waterplanten. Indien kan worden aangetoond dat dit niet het geval is, moet gebruikgemaakt worden van professionele beoordeling bij het besluit of classificatie zal worden toegepast. De classificatie moet gebaseerd zijn op de ErC50. Onder de omstandigheden waarbij de basis van de EC50 niet is aangegeven en geen ErC50 is geregistreerd, moet de classificatie worden gebaseerd op de laagste beschikbare EC50.
  • Opmerking 4: Een tekort aan snelle afbreekbaarheid is ofwel gebaseerd op een tekort aan gemakkelijke biologische afbreekbaarheid dan wel op andere bewijzen van een tekort aan snelle degradatie. Indien geen bruikbare gegevens over de afbreekbaarheid, ofwel experimenteel bepaald dan wel geschatte gegevens, beschikbaar zijn, moet de stof als niet snel afbreekbaar worden beschouwd.
  • Opmerking 5: Het vermogen tot bioaccumulatie, gebaseerd op een experimenteel afgeleide BCF ≥ 500 of, indien deze niet voorhanden is, een log Kow ≥ 4 onder voorwaarde dat de log Kow een geschikt identificerend element is voor het vermogen tot bioaccumulatie van de stof. Gemeten waarden van de log Kow gaan vóór de geschatte waarden en gemeten waarden van de BCF gaan vóór waarden van de log Kow.

a. Figuur 2.2.9.1.10.3.1: Categorieën van stoffen die op lange termijn gevaarlijk zijn voor het aquatisch milieu 

 2.2.9.1.10.3.1

2.2.9.1.10.3.2

3Het schema voor de classificatie in Tabel 2.2.9.1.10.3.2 hieronder vat de criteria voor classificatie van stoffen samen.

Tabel 2.2.9.1.10.3.2: Schema voor de classificatie van stoffen gevaarlijk voor het aquatisch milieu

Categorieën voor de classificatie

Acuut gevaar
(zie Opmerking 1)

Gevaar op lange termijn (zie Opmerking 2)

Voldoende gegevens over de chronische toxiciteit beschikbaar

Onvoldoende gegevens over de chronische toxiciteit beschikbaar
(zie Opmerking 1)

Stoffen die niet snel afbreekbaar zijn
(zie Opmerking 3)

Stoffen die snel afbreekbaar zijn
(zie Opmerking 3)

Categorie: Acuut 1

Categorie:
Chronisch 1

Categorie:
Chronisch 1

Categorie:
Chronisch 1

L(E)C50 ≤ 1,00

NOEC of ECx ≤ 0,1

NOEC of ECx ≤ 0,01

L(E)C50 ≤ 1,00 en tekort aan snelle afbreekbaarheid en/of BCF ≥ 500 of, indien niet beschikbaar log Kow ≥ 4

Categorie:
Chronisch 2

Categorie:
Chronisch 2

Categorie:
Chronisch 2

0,1 < NOEC of ECx ≤ 1

0,01 < NOEC of ECx ≤ 0,1

1,00 < L(E)C50 ≤ 10,0 en tekort aan snelle afbreekbaarheid en/of
BCF ≥ 500 of, indien niet beschikbaar log Kow ≥ 4

 

  • Opmerking 1: De bandbreedte voor de acute toxiciteit gebaseerd op waarden van de L(E)C50 in mg/l voor vissen, schaaldieren en/of algen of andere waterplanten (of, indien geen gegevens uit beproevingen beschikbaar zijn) schatting op grond van Kwantitatieve Relaties tussen Structuur en Activiteit (QSAR Quantitative Structure Activity Relationships)13).
  • Opmerking 2: Stoffen worden geclassificeerd in de diverse categorieën “Chronisch”, tenzij er voldoende gegevens over chronische toxiciteit beschikbaar zijn voor alle drie trofische niveaus boven de oplosbaarheid in water of boven 1 mg/l. (“Voldoende” betekent dat de gegevens het omslagpunt, dat van belang is, voldoende afdekken. In het algemeen zou dit betekenen: gemeten beproevingsgegevens, maar teneinde niet noodzakelijke beproevingen te vermijden, is dit ook mogelijk op basis van geschatte gegevens van geval tot geval, bijv. (Q)SAR, of bij voor de hand liggende gevallen beoordeling door een deskundige).
  • Opmerking 3: De bandbreedte van de chronische toxiciteit gebaseerd op de NOEC of de equivalente ECx-waarden in mg/l voor vissen of schaaldieren of andere erkende meeteenheden voor de chronische toxiciteit.”.

 13 Een speciale leidraad is opgenomen in hoofdstuk 4.1, paragraaf 4.1.2.13 en Aanhangsel 9, sectie A9.6 van het GHS.

 

2.2.9.1.10.4

Categorieën en criteria voor de classificatie van mengsels

 

2.2.9.1.10.4.1

Het systeem voor classificatie van mengsels omvat de categorieën voor classificatie die voor stoffen worden gebruikt, d.w.z. categorieën Acuut 1 en Chronisch 1 en 2. Teneinde gebruik te maken van alle gegevens beschikbaar voor doeleinden van classificatie van de gevaren van het mengsel voor het aquatisch milieu, wordt de volgende aanname gedaan en waar nodig toegepast.

De ‘relevante bestanddelen’ van een mengsel zijn die, welke aanwezig zijn in een concentratie gelijk aan of hoger dan 0,1 massa-% voor bestanddelen geclassificeerd als Acuut en/of Chronisch 1 en gelijk aan of hoger dan 1% voor andere bestanddelen, tenzij de veronderstelling bestaat (bijv. in het geval van zeer giftige bestanddelen) dat een bestanddeel aanwezig is in een concentratie lager dan 0,1%, dat nog steeds relevant kan zijn voor de classificatie van het mengsel voor gevaren voor het aquatisch milieu.

 

2.2.9.1.10.4.2

Voor de classificatie van de gevaren voor het aquatisch milieu wordt een trapsgewijze benadering gebruikt, en deze hangt af van het type informatie beschikbaar voor het mengsel zelf en voor de bestanddelen daarvan. De trapsgewijze benadering omvat de volgende elementen:

  1. Classificatie gebaseerd op beproefde mengsels;
  2. Classificatie gebaseerd op principe van overbrugging;
  3. Het gebruik van "sommatie van geclassificeerde bestanddelen" en/of een "additiviteitsformule".

Figuur 2.2.9.1.10.4.2 hieronder schetst het te volgen proces.

2.2.9.1.10.4.2

 Figuur 2.2.9.1.10.4.2: Trapsgewijze benadering van de classificatie van mengsels van acute gevaren en gevaren op de lange termijn voor het aquatisch milieu

 

2.2.9.1.10.4.3

Classificatie van mengsels indien gegevens over de toxiciteit beschikbaar zijn voor het mengsel als geheel.

 

2.2.9.1.10.4.3.1

Indien het mengsel als geheel is onderzocht om de aquatische toxiciteit ervan vast te stellen, dan moet deze informatie worden gebruikt om het mengsel te classificeren overeenkomstig de criteria die zijn overeengekomen voor stoffen.

De classificatie is in normale gevallen gebaseerd op de gegevens voor vissen, schaaldieren en algen/planten (zie 2.2.9.1.10.2.3 en 2.2.9.1.10.2.4). Indien voldoende acute of chronische gegevens voor het mengsel als geheel ontbreken, moeten “overbruggingsprincipes” of “de sommatie methode” worden toegepast (zie 2.2.9.1.10.4.4 t/m 2.2.9.1.10.4.6).

 

2.2.9.1.10.4.3.2

Voor de classificatie van mengsels wat betreft gevaren op lange termijn is aanvullende informatie vereist over de afbreekbaarheid en in bepaalde gevallen over de bioaccumulatie. Er bestaan geen gegevens over afbreekbaarheid en bioaccumulatie van mengsels als geheel.

Beproevingsgegevens van afbreekbaarheid en bioaccumulatie voor mengsels worden niet gebruikt, omdat zij gewoonlijk moeilijk zijn te interpreteren, en zulke beproeving kan alleen zinvol zijn voor afzonderlijke stoffen.

 

2.2.9.1.10.4.3.3

Classificatie in categorie Acuut 1

  1. Indien voldoende beproevingsgegevens voor de acute toxiciteit (LC50 of EC50) voor het mengsel als geheel beschikbaar zijn waaruit blijkt dat de L(E)C50 ≤ 1 mg/l is:
    Classificeer het mengsel als Acuut 1 overeenkomstig Tabel 2.2.9.1.10.3.1 a);
  2. Indien beproevingsgegevens voor de acute toxiciteit (LC50- of EC50-waarde(n)) voor het mengsel als geheel beschikbaar zijn waaruit blijkt dat de L(E)C50-waarde(n) >1 mg/l is/zijn, of hoger dan de oplosbaarheid in water:
    Geen noodzaak om overeenkomstig het ADR voor acuut gevaar te classificeren.

 

2.2.9.1.10.4.3.4

Classificatie in categorieën Chronisch 1 en 2

  1. Indien voldoende beproevingsgegevens voor de chronische toxiciteit (ECx of NOEC) voor het mengsel als geheel beschikbaar zijn waaruit blijkt dat ECx of NOEC van het beproefde mengsel ≤ 1mg/l is:
    1. classificeer het mengsel als Chronisch 1 of 2 overeenkomstig Tabel 2.2.9.1.10.3.1 b) ii) (snel afbreekbaar) indien de beschikbare informatie de conclusie toelaat dat alle relevante ingrediënten van het mengsel snel afbreekbaar zijn;

      Opmerking: In deze situatie, wanneer de ECx of NOEC van het beproefde mengsel > 0,1 mg/l, dan is er geen noodzaak om overeenkomstig ADR voor gevaar op lange termijn te classificeren.

    2. classificeer het mengsel als Chronisch 1 en 2 in alle andere gevallen overeenkomstig Tabel 2.2.9.1.10.3.1 b) i) (niet snel afbreekbaar);
  2. Indien voldoende beproevingsgegevens voor de chronische toxiciteit (ECx of NOEC) voor het mengsel als geheel beschikbaar zijn waaruit blijkt dat de ECx- of NOEC-waarde(n) van het beproefde mengsel > 1 mg/l is/zijn of hoger dan de oplosbaarheid in water:
    Geen noodzaak om overeenkomstig het ADR voor gevaar op lange termijn te classificeren.

 

2.2.9.1.10.4.4

Classificatie van mengsels indien gegevens over de toxiciteit voor het mengsel als geheel niet beschikbaar zijn: overbruggingsprincipes

 

2.2.9.1.10.4.4.1

Indien het mengsel zelf niet is beproefd om het gevaar voor het aquatisch milieu vast te stellen, maar er zijn voldoende gegevens beschikbaar over de afzonderlijke bestanddelen en gelijksoortige beproefde mengsels om de gevaren van het mengsel voldoende te karakteriseren, dan moeten deze gegevens worden gebruikt in overeenstemming met volgende overeengekomen overbruggingsregels.

Hierdoor wordt gegarandeerd dat bij het classificatieproces in de grootst mogelijke mate gebruik gemaakt wordt van de beschikbare gegevens voor het karakteriseren van de gevaren van het mengsel zonder de noodzaak van aanvullende dierproeven.

 

2.2.9.1.10.4.4.2

Verdunning
Indien een nieuw mengsel wordt gevormd door verdunning van een beproefd mengsel of van een stof met een verdunningsmiddel dat een gelijkwaardige of lagere aquatische gevarenclassificatie bezit dan het minst toxische originele bestanddeel en waarvan niet verwacht wordt dat dit de aquatische gevaren van andere bestanddelen beïnvloedt, dan moet het mengsel worden geclassificeerd als gelijkwaardig aan het originele beproefde mengsel of de originele beproefde stof.

Als alternatief mag de methode, uiteengezet in 2.2.9.1.10.4.5, worden toegepast.

 

2.2.9.1.10.4.4.3

Variatie tussen charges
De aquatische gevarenclassificatie van een beproefde charge uit de productie van een mengsel wordt geacht in wezen equivalent te zijn aan die van een andere niet beproefde charge uit de productie van hetzelfde commerciële product indien geproduceerd door of onder controle van dezelfde fabrikant, tenzij er redenen bestaan om aan te nemen dat er sprake is van significante verandering, zodat de aquatische gevarenclassificatie van de niet beproefde charge is veranderd. Indien het laatstgenoemde optreedt, is een nieuwe classificatie noodzakelijk.

 

2.2.9.1.10.4.4.4

Concentratie van mengsels die zijn geclassificeerd in de meest strenge classificatiecategorieën (Chronisch 1 en Acuut 1)

Indien een beproefd mengsel is geclassificeerd als Chronisch 1 en/of Acuut 1 en de bestanddelen van het mengsel die geclassificeerd zijn als Chronisch 1 en/of Acuut 1 verder worden geconcentreerd, dan moet het meer geconcentreerde niet beproefde mengsel in dezelfde classificatiecategorie worden geclassificeerd als het originele beproefde mengsel zonder aanvullende beproevingen.

 

2.2.9.1.10.4.4.5

Interpolatie binnen een categorie van toxiciteit
Indien in het geval van drie mengsels (A, B en C) met identieke bestanddelen de mengsels A en B zijn beproefd en in dezelfde categorie van toxiciteit vallen, en indien het niet beproefde mengsel C dezelfde toxicologisch actieve bestanddelen bevat als de mengsels A en B, maar concentraties van toxicologisch actieve bestanddelen bevat die tussen de concentraties in mengsels A en B liggen, dan wordt aangenomen dat mengsel C in dezelfde categorie valt als A en B.

 

2.2.9.1.10.4.4.6

In wezen gelijksoortige mengsels
Gegeven het volgende geval:

  1. twee mengsels:
    1. A + B;
    2. C + B;
  2. de concentratie van bestanddeel B is in wezen dezelfde in beide mengsels;
  3. de concentratie van bestanddeel A in mengsel i) is gelijk aan die van bestanddeel C in mengsel ii);
  4. de gegevens betreffende aquatische gevaren van A en C zijn beschikbaar en in wezen equivalent, d.w.z. ze vallen onder dezelfde gevarencategorie en er wordt niet verwacht dat zij de aquatische toxiciteit van B beïnvloeden,

indien mengsel i) of ii) al geclassificeerd is op basis van beproevingsgegevens, dan kan aan het andere mengsel dezelfde gevarencategorie worden toegekend.

 

2.2.9.1.10.4.5

Classificatie van mengsels indien toxiciteitsgegevens beschikbaar zijn van alle bestanddelen of slechts voor enkele bestanddelen van het mengsel

2.2.9.1.10.4.5.1

De classificatie van een mengsel moet zijn gebaseerd op de optelling van de concentraties van de geclassificeerde bestanddelen ervan. Het percentage van de bestanddelen geclassificeerd als "Acuut" of "Chronisch" wordt rechtstreeks ingevoerd in de sommatiemethode.

In 2.2.9.1.10.4.6.1 t/m 2.2.9.1.10.4.6.4 worden bijzonderheden van de sommatiemethode beschreven.

 

2.2.9.1.10.4.5.2

Mengsels kunnen worden samengesteld uit een combinatie van zowel bestanddelen die geclassificeerd zijn (als Acuut 1 en/of Chronisch 1 of 2) als die waarvoor geschikte beproevingsgegevens van de toxiciteit beschikbaar zijn. Indien geschikte beproevingsgegevens van de toxiciteit beschikbaar zijn voor meer dan één van de bestanddelen van het mengsel, dan moet de gecombineerde toxiciteit van die bestanddelen worden berekend, waarbij gebruikgemaakt wordt van de volgende additiviteitsformules a) of b) afhankelijk van de aard van de toxiciteitsgegevens:

  1. gebaseerd op de acute aquatische toxiciteit:

2.2.9.1.10.4.5.2

 

 

waarin:
Ci = concentratie van bestanddeel i (massa percentage);
L(E)C50i = LC50 of EC50 voor bestanddeel i (mg/l);
n = aantal bestanddelen waarbij i loopt van 1 t/m n;
L(E)C50m = L(E)C50 van het gedeelte van het mengsel met beproevingsgegevens

De berekende toxiciteit moet worden gebruikt om aan dat deel van het mengsel een acute gevarencategorie toe te kennen die vervolgens wordt gebruikt bij de toepassing van de sommatiemethode;

  1. gebaseerd op chronisch aquatische toxiciteit:

2.2.9.1.10.4.5.2 2

 

 

 

waarin:
Ci = concentratie van bestanddeel i (massa percentage) waardoor de snel afbreekbare bestanddelen worden afgedekt;

Cj = concentratie van bestanddeel j (massa percentage) waardoor de niet snel afbreekbare bestanddelen worden afgedekt;

NOECi = NOEC (of andere erkende maateenheden voor chronische toxiciteit) voor bestanddeel i waardoor de snel afbreekbare bestanddelen worden afgedekt, in mg/l;

NOECj = NOEC (of andere erkende maateenheden voor chronische toxiciteit) voor bestanddeel j waardoor de niet snel afbreekbare bestanddelen worden afgedekt, in mg/l;

n = aantal bestanddelen, waarbij i en j lopen van 1 t/m n;

EqNOECm = de equivalente NOEC van het deel van het mengsel met beproevingsgegevens;

De equivalente toxiciteit geeft derhalve het feit weer dat niet snel afbreekbare stoffen in een gevarencategorie worden geclassificeerd die “strenger” is dan snel afbreekbare stoffen.
De berekende equivalente toxiciteit moet worden gebruikt om aan dat gedeelte van het mengsel een categorie van gevaren op lange termijn toe te kennen, in overeenstemming met de criteria voor snel afbreekbare stoffen [Tabel 2.2.9.1.10.3.1 b) ii)], die vervolgens gebruikt wordt voor de toepassing van de sommatiemethode.

 

2.2.9.1.10.4.5.3

Indien de additiviteitsformule wordt toegepast voor een gedeelte van het mengsel, verdient het de voorkeur de toxiciteit van dit gedeelte van het mengsel zo te berekenen dat gebruik gemaakt wordt van toxiciteitswaarden voor elke afzonderlijke bestanddeel die betrekking hebben op dezelfde taxonomische groep (d.w.z. vis, schaaldieren of algen) en dan gebruik te maken van de hoogste toxiciteit (laagste waarde) verkregen (d.w.z. gebruikmaken van de meest gevoelige van de drie groepen).

Indien echter toxiciteitsgegevens voor elk bestanddeel niet beschikbaar zijn voor dezelfde taxonomische groep, dan moet de toxiciteitswaarde voor elk bestanddeel op dezelfde wijze worden gekozen als toxiciteitswaarden worden gekozen voor de classificatie van stoffen, d.w.z. de hogere giftigheid (van het meest gevoelige organisme voor de beproeving) wordt gebruikt. De berekende acute en chronische toxiciteit moet dan worden gebruikt om dit deel van het mengsel te classificeren als Acuut 1 en/of Chronisch 1 of 2, waarbij dezelfde criteria worden gebruikt als beschreven voor stoffen.

 

2.2.9.1.10.4.5.4

Indien een mengsel op meer dan één wijze is geclassificeerd, moet de methode die het meest conservatieve resultaat oplevert, worden gebruikt.

 

2.2.9.1.10.4.6

Sommatiemethode

2.2.9.1.10.4.6.1

Classificatieprocedure
In het algemeen doet een strengere classificatie voor mengsels een minder strenge classificatie te niet, d.w.z. een classificatie als Chronisch 1 doet een classificatie als Chronisch 2 te niet.

Dientengevolge is de classificatieprocedure reeds voltooid, indien het resultaat van de classificatie Chronisch 1 is.

Een strengere classificatie dan Chronisch 1 is niet mogelijk; het is derhalve niet nodig de classificatieprocedure verder voort te zetten.

 

2.2.9.1.10.4.6.2

Classificatie voor categorie Acuut 1

 

2.2.9.1.10.4.6.2.1

In de eerste plaats zijn alle bestanddelen geclassificeerd als Acuut 1 beschouwd. Indien de som van de concentraties (in %) van deze bestanddelen groter dan of gelijk aan 25 % is, moet het gehele mengsel worden geclassificeerd als Acuut 1.

Indien het resultaat van de berekening een classificatie van het mengsel als Acuut 1 is, dan is de classificatieprocedure voltooid.

 

2.2.9.1.10.4.6.2.2

De classificatie van mengsels wat betreft de acute gevaren gebaseerd op de sommatie van de
concentraties van geclassificeerde bestanddelen, is samengevat in onderstaande Tabel 2.9.1.10.4.6.2.2

Tabel 2.2.9.1.10.4.6.2.2:

Classificatie van een mengsel wat betreft acute gevaren, gebaseerd op sommatie van geclassificeerde bestanddelen.

Som van de concentraties (in %) van bestanddelen geclassificeerd als: Mengsel geclassificeerd als:
Acuut 1 x M a  ≥ 25% Acuut 1

 a Zie voor een verklaring van de factor M, 2.2.9.1.10.4.6.4.

2.2.9.1.10.4.6.3

Classificatie voor de categorieën Chronisch 1 en 2

2.2.9.1.10.4.6.3.1

Eerst worden alle bestanddelen beschouwd die geclassificeerd zijn als Chronisch 1. Indien de som van de concentraties (in %) van deze bestanddelen groter dan of gelijk aan 25 % is, moet het mengsel worden geclassificeerd als Chronisch 1.

Indien het resultaat van de berekening een classificatie van het mengsel als Chronisch 1 is, dan is de classificatieprocedure voltooid.

 

2.2.9.1.10.4.6.3.2

In de gevallen waarin het mengsel niet wordt geclassificeerd als Chronisch 1, moet worden beschouwd of het mengsel kan worden geclassificeerd als Chronisch 2.

Een mengsel moet worden geclassificeerd als Chronisch 2 indien 10 maal de som van de concentraties (in %) van alle bestanddelen geclassificeerd als Chronisch 1 plus de som van de concentraties (in %) van alle bestanddelen geclassificeerd als Chronisch 2 groter dan of gelijk aan 25 % is. Indien het resultaat van de berekening een classificatie van het mengsel als Chronisch 2 is, dan is de classificatieprocedure voltooid.

 

2.2.9.1.10.4.6.3.3

De classificatie van mengsels wat betreft gevaren op de lange termijn, gebaseerd op deze sommatie van de concentraties van geclassificeerde bestanddelen, is samengevat in onderstaande Tabel 2.2.9.1.10.4.6.3.3.

Som van de concentraties (in %) van bestanddelen geclassificeerd als: Mengsel geclassificeerd als:
Chronisch 1 x Ma ≥ 25% Chronisch 1
(M x 10 x Chronisch 1) + Chronisch 2  ≥ 25% Chronisch 2
 Tabel 2.2.9.1.10.4.6.3.3: Classificatie van een mengsel wat betreft gevaren op lange termijn, gebaseerd op de sommatie van de concentraties van geclassificeerde bestanddelen
a Zie voor een verklaring van de factor M, 2.2.9.1.10.4.6.4.

 

2.2.9.1.10.4.6.4

Mengsels met zeer toxische bestanddelen
Bestanddelen geclassificeerd als Acuut 1 of Chronisch 1 met acute toxiciteiten ver beneden 1 mg/l en/of chronische toxiciteiten ver beneden 0,1 mg/l (indien deze niet snel afbreekbaar zijn) en 0,01 mg/l (indien deze snel afbreekbaar zijn) kunnen de toxiciteit van het mengsel beïnvloeden en aan deze bestanddelen wordt een groter gewicht toegekend bij de toepassing van de sommatiemethode.

Indien een mengsel bestanddelen bevat, die geclassificeerd zijn als Acuut 1 of Chronisch 1, moet de trapsgewijze benadering beschreven in 2.2.9.1.10.4.6.2 en 2.2.9.1.10.4.6.3 worden toegepast, waarbij gebruik gemaakt wordt van een gewogen som, verkregen door de concentraties van de bestanddelen van categorie Acuut 1 en Chronisch 1 met een factor te vermenigvuldigen in plaats van de percentages slechts op te tellen.

Dit betekent dat de concentraties van "Acuut 1" “en Chronisch 1” in de linker kolom van tabel 2.2.9.1.10.4.6.2.2 en de concentratie van "Chronisch 1" in de linker kolom van tabel 2.2.9.1.10.4.6.3.3 worden vermenigvuldigd met de juiste vermenigvuldigingsfactor.
De vermenigvuldigingsfactoren die op deze bestanddelen moeten worden toegepast, zijn gedefinieerd, waarbij gebruik gemaakt wordt van de toxiciteitswaarde, zoals samengevat in onderstaande tabel 2.2.9.1.10.4.6.4.

Teneinde een mengsel te classificeren dat bestanddelen bevat van categorie Acuut 1 en/of Chronisch 1, moet degene die classificeert derhalve worden geïnformeerd over de waarde van de factor M, teneinde de sommatiemethode toe te passen.

In plaats daarvan mag de additiviteitsformule (zie 2.2.9.1.10.4.5.2) worden gebruikt indien gegevens van de toxiciteit voor alle zeer toxische bestanddelen in het mengsel beschikbaar zijn en er overtuigend bewijs bestaat, dat alle andere bestanddelen, met inbegrip van die waarvoor geen specifieke gegevens over acute en/of chronische toxiciteit beschikbaar zijn een lage of geen toxiciteit vertonen en niet aanmerkelijk bijdragen tot de gevaren van het mengsel voor het milieu.

2.2.9.1.10.4.6.4

2.2.9.1.10.4.6.5

Classificatie van mengsels met bestanddelen waarvoor geen enkele bruikbare informatie beschikbaar is.

In het geval dat geen bruikbare informatie over acute en/of chronische aquatische toxiciteit voor één of meer relevante bestanddelen beschikbaar is, wordt geconcludeerd dat aan het mengsel geen definitieve gevarencategorie(ën) kan/kunnen worden toegekend.

In deze situatie moet het mengsel alleen op grond van de bekende bestanddelen worden geclassificeerd.

 

2.2.9.1.10.5

 

Stoffen en mengsels die als milieugevaarlijke stoffen (aquatisch milieu) zijn geclassificeerd op grond van Verordening (EG) nr. 1272/20083
Indien gegevens voor de classificatie overeenkomstig de criteria van 2.2.9.1.10.3 en 2.2.9.1.10.4 niet beschikbaar zijn,

  1. moet een stof of mengsel worden geclassificeerd als een milieugevaarlijke stof (aquatisch milieu), indien daaraan de categorie(ën) Aquatisch Acuut 1, Aquatisch Chronisch 1 of Aquatisch Chronisch 2 zijn toegekend overeenkomstig Verordening (EG) nr. 1272/20083;
  2. mogen deze stoffen en mengsels worden beschouwd als niet-milieugevaarlijke stof (aquatisch milieu) indien daaraan niet een dergelijke categorie is toegekend overeenkomstig de genoemde Verordening.

3 Verordening (EG) nr. 1272/2008 van het Europees Parlement en de Raad van 16 december 2008, betreffende de indeling, etikettering en verpakking van stoffen en mengsels tot wijziging en intrekking van de Richtlijnen 67/548/EEG en 1999/45/EG en tot wijziging van Verordening (EG) nr. 1907/2006, bekendgemaakt in het Publicatieblad van de Europese Unie, nr. L 353 van 31 december 2008, blz. 1-1355.

2.2.9.1.10.6

Indeling van stoffen of mengsels die geclassificeerd zijn als milieugevaarlijke stoffen (aquatisch milieu), overeenkomstig de bepalingen van 2.2.9.1.10.3, 2.2.9.1.10.4 of 2.2.9.1.10.5.

Stoffen of mengsels die geclassificeerd zijn als milieugevaarlijke stoffen (aquatisch milieu) die niet voldoen aan de indelingscriteria van om het even welke andere klasse of een andere stof in klasse 9, moeten worden aangeduid als

UN-nummer 3077 MILIEUGEVAARLIJKE VASTE STOF, N.E.G.
UN-nummer 3082 MILIEUGEVAARLIJKE VLOEISTOF, N.E.G.

Zij moeten worden ingedeeld in verpakkingsgroep III.

2.2.9.1.11

Genetisch gemodificeerde micro-organismen en organismen
Genetisch gemodificeerde micro-organismen (GGMO’s) en genetisch gemodificeerde organismen (GGO’s) zijn micro-organismen en organismen waarin het genetisch materiaal opzettelijk veranderd is door middel van gentechnische methoden op een wijze die niet in de natuur voorkomt.

Zij moeten in klasse 9 worden ingedeeld (UN-nummer 3245 (1,2), indien zij niet voldoen aan de definitie van giftige stoffen of van infectueuze stoffen, maar ze de mogelijkheid bezitten dieren, planten of microbiologische stoffen op een wijze te veranderen die normaliter niet het resultaat is van de natuurlijke reproductie.

  • Opmerking 1: GGMO’s en GGO’s, die infectueus zijn, zijn stoffen van klasse 6.2, UN-nummer 2814 (1,2,3), 2900 (1,2,3) of 3373 (1,2)
  • Opmerking 2: Op GGMO’s of GGO’s zijn de voorschriften van het ADR niet van toepassing indien zij door de bevoegde autoriteiten van het land van oorsprong, doorvoer en bestemming zijn toegelaten voor gebruik14.
  • Opmerking 3: Farmaceutische producten (zoals vaccins) die verpakt zijn in een vorm die klaar is om te worden toegediend, met inbegrip van producten in klinische proeven, en die GGO’s of GGMO’s bevatten, vallen niet onder ADR.
  • Opmerking 4: Levende dieren mogen niet worden gebruikt om genetisch gemodificeerde micro-organismen, ingedeeld in klasse 9, te vervoeren, tenzij het onmogelijk is deze op een andere wijze te vervoeren. Genetisch gemodificeerde levende dieren moeten worden vervoerd volgens de bepalingen en voorwaarden van de bevoegde autoriteiten van de landen van oorsprong en bestemming.

14 Zie Deel C van de Richtlijn 2001/18/EG van het Europees Parlement en de Raad inzake de doelbewuste introductie van genetisch gemodificeerde organismen in het milieu en tot intrekking van Richtlijn 90/220/EEG van de Raad (Publicatieblad van de Europese Gemeenschappen, Nr. L 106 van 17 april 2001, blz. 8 t/m 14) en Verordening (EG) nr. 1829/2003 van het Europees Parlement en de Raad van 22 september 2003 inzake genetisch gemodificeerde levensmiddelen en diervoeders (Publicatieblad van de Europese Unie, nr. L 268 van 18 oktober 2003, blz. 1-23), waarin de vergunningsprocedure voor de Europese Unie is vastgelegd.

 

2.2.9.1.12

Geschrapt

2.2.9.1.13

Verwarmde stoffen
Verwarmde stoffen zijn stoffen die in vloeibare toestand bij een temperatuur gelijk aan of hoger dan 100 oC en, voor zover zij een vlampunt bezitten, bij een temperatuur lager dan hun vlampunt worden vervoerd of ten vervoer worden aangeboden. Zij omvatten ook vaste stoffen die bij een temperatuur gelijk aan of hoger dan 240 oC worden vervoerd of ten vervoer worden aangeboden.

Opmerking: Verwarmde stoffen mogen alleen in klasse 9 worden ingedeeld indien zij niet vallen onder de criteria van een andere klasse.

 

2.2.9.1.14

Andere stoffen en voorwerpen die tijdens het vervoer een gevaar vertonen maar die niet onder de definitie van een andere klasse vallen.

De volgende overige diverse stoffen en voorwerpen die niet onder de definitie van een andere klasse vallen, worden ingedeeld in Klasse 9.

  • een vaste ammoniumverbinding met een vlampunt lager dan 600 C
  • een dithioniet met gering gevaar
  • een zeer vluchtige vloeistof
  • een stof die schadelijke dampen afgeeft
  • stoffen die allergenen bevatten
  • chemische reagentiasets en sets voor eerste hulp
  • elektrische dubbellaags condensatoren (met een energieopslagcapaciteit van meer dan 0,3 Wh)
  • voertuigen, verbrandingsmotoren en -machines
  • voorwerpen die diverse gevaarlijke goederen bevatten

Opmerking: De volgende stoffen en voorwerpen, genoemd in de VN-modelbepalingen, zijn niet onderworpen aan de voorschriften van het ADR:

  • UN 1845 kooldioxide, vast (droogijs)15,
  • UN 2216 vismeel (visafval), gestabiliseerd,
  • UN 2807 gemagnetiseerd materiaal,
  • UN 3334 vloeistof, onderworpen aan de voorschriften voor de luchtvaart, n.e.g., en
  • UN 3335 vaste stof, onderworpen aan de voorschriften voor de luchtvaart, n.e.g.

15 Voor UN-nummer 1845 kooldioxide, vast (droogijs) gebruikt als koelmiddel, zie 5.5.3.

2.2.9.1.15

Indeling in verpakkingsgroepen
Indien dit in kolom (4) van tabel A van hoofdstuk 3.2 is aangegeven, zijn stoffen en voorwerpen van klasse 9 in één van de volgende verpakkingsgroepen ingedeeld op grond van de mate van gevaarlijkheid:

  • Verpakkingsgroep II: middelmatig gevaarlijke stoffen
  • Verpakkingsgroep III: stoffen met een gering gevaar

 

2.2.9.2

Niet ten vervoer toegelaten stoffen en voorwerpen
De volgende stoffen en voorwerpen zijn niet ten vervoer toegelaten:

  • Lithiumbatterijen en natrium-ion-batterijen die niet voldoen aan de voorwaarden van de bijzondere bepalingen 188, 230, 310, 636 of 670 van hoofdstuk 3.3;
  • lege, ongereinigde opvanghouders (opvangbakken) voor apparaten zoals transformatoren, condensatoren en hydraulische apparaten, die stoffen bevatten, welke ingedeeld zijn onder UN-nummer 2315, 3151, 3152 of 3432.

 

2.2.9.3

Lijst van posities

M1-M11
  M1-M5
M1 - Stoffen die bij inademing als fijn stof de gezondheid in gevaar kunnen brengen
  2212 ASBEST, AMFIBOOL (amosiet, tremoliet, actinoliet, anthofylliet,crocidoliet)
2590 ASBEST, CHRYSOTIEL
M2 - Stoffen en voorwerpen die in geval van brand dioxines kunnen doen ontstaan
  2315 POLYCHLOORBIFENYLEN, VLOEIBAAR
3432 POLYCHLOORBIFENYLEN, VAST
3151 POLYHALOGEENBIFENYLEN, VLOEIBAAR of
GEHALOGENEERDE MONOMETHYLDIFENYLMETHANEN, VLOEIBAAR of
POLYHALOGEENTERFENYLEN, VLOEIBAAR
3152 POLYHALOGEENBIFENYLEN, VAST of
GEHALOGENEERDE MONOMETHYLDIFENYLMETHANEN, VAST of POLYHALOGEENTERFENYLEN, VAST
M3 - Stoffen die brandbare dampen ontwikkelen
  2211 EXPANDEERBARE POLYMEERKORRELS, DIE BRANDBARE DAMPEN ONTWIKKELEN
3314 KUNSTSTOF PERSMASSA, IN DE VORM VAN PASTA, VELLEN OF GEËXTRUDEERDE DRADEN, DIE BRANDBARE DAMPEN ONTWIKKELEN
M4 - Lithiumbatterijen en natrium-ionbatterijen
  3090 BATTERIJEN MET METALLISCH LITHIUM (MET INBEGRIP VAN BATTERIJEN MET LITHIUMLEGERINGEN)
  3091 BATTERIJEN MET METALLISCH LITHIUM IN APPARATUUR of
BATTERIJEN MET METALLISCH LITHIUM VERPAKT MET APPARATUUR (met inbegrip van batterijen met lithiumlegeringen)
  3480 LITHIUM-ION-BATTERIJEN (MET INBEGRIP VAN LITHIUM-ION- POLYMEER-BATTERIJEN)
  3481 LITHIUM-ION-BATTERIJEN IN APPARATUUR of
LITHIUM-ION-BATTERIJEN VERPAKT MET APPARATUUR
(met inbegrip van lithium-ion-polymeer-batterijen)
  3536 LITHIUMBATTERIJEN INGEBOUWD IN LAADEENHEID, LITHIUM-ION-BATTERIJEN OF BATTERIJEN VAN METALLISCH LITHIUM
  3551 NATRIUM-ION BATTERIJEN met organisch elektrolyt
  3552 NATRIUM-ION BATTERIJEN IN APPARATUUR of NATRIUM-ION BATTERIJEN VERPAKT MET APPARATUUR, met organisch elektrolyt
M5 - Reddingsmiddelen
  2990 REDDINGSMIDDELEN, AUTOMATISCH OPBLAASBAAR
3072 REDDINGSMIDDELEN, NIET AUTOMATISCH OPBLAASBAAR, DIE MET GEVAARLIJKE STOFFEN OF VOORWERPEN ZIJN UITGERUST
3268 VEILIGHEIDSINRICHTINGEN, ELEKTRISCH INGELEID
3559 INRICHTINGEN VOOR VERSPREIDEN VAN BRANDBLUSMIDDEL
  M6-M8 - Milieugevaarlijke stoffen
M6 - gevaarlijk voor aquatisch milieu, vloebaar
  3082 MILIEUGEVAARLIJKE VLOEISTOF, N.E.G.
M7 - gevaarlijk voor aquatisch milieu, vast
  3077 MILIEUGEVAARLIJKE VASTE STOF, N.E.G.
M8 - genetisch gemodificeerde (micro-) organismen
  3245 GENETISCH GEMODIFICEERDE MICRO-ORGANISMEN OF
GENETISCH GEMODIFICEERDE ORGANISMEN
3245 GENETISCH GEMODIFICEERDE MICRO-ORGANISMEN OF
GENETISCH GEMODIFICEERDE ORGANISMEN, IN STERK GEKOELDE VLOEIBARE STIKSTOF
  M9-M10 - Verwarmde stoffen
M9 - vloeibaar
  3257 (1,2) VERWARMDE VLOEISTOF, N.E.G., BIJ EEN TEMPERATUUR GELIJK AAN OF HOGER DAN 100 °C EN LAGER DAN HAAR VLAMPUNT (MET INBEGRIP VAN GESMOLTEN METALEN, GESMOLTEN ZOUTEN, ETC.), GEVULD BIJ EEN TEMPERATUUR HOGER DAN 190 °C
M10 - vast
  3258 VERWARMDE VASTE STOF, N.E.G., BIJ EEN TEMPERATUUR GELIJK AAN OF HOGER DAN 240 °C.
  M11 - Andere stoffen en voorwerpen die tijdens het vervoer een gevaar vertonen maar die niet onder de definitie van een andere klasse vallen
  Alleen de in tabel A van hoofdstuk 3.2 genoemde stoffen en voorwerpen met deze classificatiecode zijn onderworpen aan de voorschriften van klasse 9, te weten:
1841 ACEETALDEHYDEAMMONIAK
1931 ZINKDITHIONIET
1941 DIBROOMDIFLUORMETHAAN (DIFLUORDIBROOMMETHAAN)
1990 BENZALDEHYDE
2071 AMMONIUMNITRAATHOUDENDE MESTSTOFFEN
2969 RICINUSZAAD of
RICINUSMEEL of
RICINUSKOEKEN of
RICINUSVLOKKEN
3166 VERBRANDINGSMOTOR OF VOERTUIG, DOOR BRANDBAAR GAS AANGEDREVEN of
VOERTUIG, DOOR BRANDBARE VLOEISTOF AANGEDREVEN of
MOTOR MET BRANDSTOFCEL, DOOR BRANDBAAR GAS AANGEDREVEN of
MOTOR MET BRANDSTOFCEL, DOOR BRANDBARE VLOEISTOF AANGEDREVEN of VOERTUIG MET BRANDSTOFCEL, DOOR BRANDBAAR GAS AANGEDREVEN of VOERTUIG MET BRANDSTOFCEL, DOOR BRANDBARE VLOEISTOF AANGEDREVEN
3171 VOERTUIG MET ACCUVOEDING of APPARAAT MET ACCUVOEDING
3316 CHEMISCHE REAGENTIASET OF
SET VOOR EERSTE HULP
3359 GEGASTE LAADEENHEID
3363 GEVAARLIJKE GOEDEREN IN VOORWERPEN OF
GEVAARLIJKE GOEDEREN IN MACHINES OF
GEVAARLIJKE GOEDEREN IN APPARATEN
3499 CONDENSATOR, ELEKTRISCH, DUBBELLAAGS (MET EEN ENERGIEOPSLAGCAPACITEIT VAN MEER DAN 0,3 WH)
3508 CONDENSATOR, ASYMMETRISCH (MET EEN ENERGIEOPSLAGCAPACITEIT VAN MEER DAN 0,3 WH)
3509 AFGEDANKTE VERPAKKINGEN, LEEG, ONGEREINIGD
3530 VERBRANDINGSMOTOR OF 
VERBRANDINGSMACHINES
3548 VOORWERPEN MET DIVERSE GEVAARLIJKE GOEDEREN, N.E.G.
3556 VOERTUIG, DOOR LITHIUM-ION BATTERIJ AANGEDREVEN
3557 VOERTUIG, DOOR BATTERIJEN MET METALLISCH LITHIUM AANGEDREVEN
3558 VOERTUIG, DOOR NATRIUM-ION BATTERIJ AANGEDREVEN